Đề thi khảo sát chất lượng đầu năm môn Toán lớp 7 huyện Kim Sơn, Ninh Bình năm học 2015 - 2016
Đề thi khảo sát chất lượng đầu năm môn Toán lớp 7
Đề thi khảo sát chất lượng đầu năm môn Toán lớp 7 huyện Kim Sơn, Ninh Bình năm học 2015 - 2016 đề kiểm tra môn Toán dành cho các em học sinh mới từ lớp 6 lên lớp 7 luyện tập nhằm ôn tập và củng cố kiến thức. Đề thi có kèm theo đáp án, các em có thể kiểm tra ngay sau khi luyện tập. Chúc các em học tốt.
Đề thi khảo sát chất lượng đầu năm lớp 7 môn Ngữ văn năm 2015 - 2016 huyện Kim Sơn, Ninh Bình
|
PHÒNG GD&ĐT HUYỆN KIM SƠN
|
ĐỀ KHẢO SÁT CHẤT LƯỢNG NĂM HỌC: 2015-2016 MÔN: TOÁN - LỚP 7 Thời gian làm bài 90 phút (không kể thời gian giao đề) |
Câu 1 (2.0 điểm):
1. Sắp xếp các số nguyên sau theo thứ tự tăng dần: 5; -12; 8; -4; 2; 0.
2. a) Tính: 15 + (-9)
b) Tính nhanh: 5.2015 – 5.2014
Câu 2 (3.0 điểm):
1. Thực hiện phép tính:

2. Tìm x, biết:
![]()
Câu 3 (2.0 điểm):
Sơ kết Học kỳ I, lớp 6A có 32 học sinh gồm có ba loại: Giỏi, Khá và Trung bình. Số học sinh giỏi chiếm 1/4 số học sinh cả lớp. Số học sinh khá bằng 3/8 số học sinh còn lại.
a) Tính số học sinh mỗi loại của lớp 6A.
b) Tính tỉ số phần trăm của số học sinh trung bình so với số học sinh cả lớp.
Câu 4 (2.5 điểm):
Trên cùng một nửa mặt phẳng có bờ chứa tia Ox, vẽ hai tia Oy, Oz sao cho góc xOy = 800; góc xOz = 400.
a) Trong ba tia Ox, Oy, Oz tia nào nằm giữa hai tia còn lại? Vì sao?
b) So sánh số đo của hai góc xOz và zOy.
c) Tia Oz có phải là tia phân giác của góc xOy không? Vì sao?
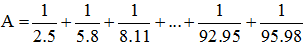
Câu 5 (0.5 điểm): Tính ![]()
Đáp án đề thi khảo sát chất lượng đầu năm môn Toán lớp 7

