Đề thi khảo sát chất lượng đầu năm môn Toán lớp 7 trường THCS Xuân Hòa, Vĩnh Phúc năm học 2016 - 2017
Đề thi khảo sát chất lượng đầu năm môn Toán lớp 7
Đề thi khảo sát chất lượng đầu năm môn Toán lớp 7 trường THCS Xuân Hòa, Vĩnh Phúc năm học 2016 - 2017 là đề kiểm tra đầu năm nhằm đánh giá chất lượng học sinh từ lớp 6 lên lớp 7. Đề thi môn Toán có kèm theo đáp án, giúp các bạn tự luyện và kiểm tra lại đáp án sau khi làm bài. Chúc các bạn học tốt.
Đề thi khảo sát chất lượng đầu năm môn Toán lớp 7 trường THCS Nhơn Mỹ, Bình Định năm 2016 - 2017
Đề thi khảo sát chất lượng đầu năm lớp 7 môn Toán năm 2013-2014 trường THCS Đa Lộc, Thanh Hóa
|
PHÒNG GD & ĐT LẬP THẠCH TRƯỜNG THCS XUÂN HÒA |
KHẢO SÁT CHẤT LƯỢNG ĐẦU NĂM MÔN: TOÁN LỚP 7 Năm học: 2016 – 2017 Thời gian làm bài 90 phút |
A/ TRẮC NGHIỆM (2 điểm)
Câu 1: Kết quả phép tính 35 . 94 là:
A. 313 B. 279 C. 39 D. 2720
Câu 2: Tổng của tất cả các số nguyên x, biết -10 < x < 11 bằng:
A. 1 B. -21 C. 21 D. 10
Câu 3: Hai góc bù nhau, một góc có số đo bằng 350. Góc còn lại có số đo bằng:
A. 550 B. 1450 C. 650 D. 1550
Câu 4: Số học sinh của khối 6 là 118 em, chiếm 23,6% Số học sinh toàn trường. Số học sinh toàn trường là:
A. 200 B. 472 C. 449 D. 500
B/ TỰ LUẬN (8 điểm)
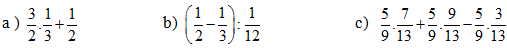
Câu 1. (1,5 điểm) Thực hiện phép tính (tính hợp lý nếu có thể)
![]()
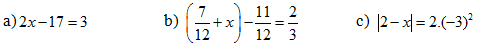
Câu 2. (1,5 điểm) Tìm x biết.
![]()
Câu 3. (2 điểm) Một mảnh vườn hình chữ nhật có chiều dài là 80m và chiều rộng bằng 15/16 chiều dài. Tính chu vi và diện tích của mảnh vườn đó?
Câu 4. (2 điểm) Cho góc bẹt xOy. Vẽ tia Oz sao cho góc yOz = 600.
a) Tính góc xOz.
b) Vẽ Om, On lần lượt là tia phân giác của góc xOz và góc yOz. Hỏi hai góc zOm và zOn có phụ nhau không? Tại sao?
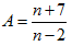
Câu 5. (1 điểm)
Tìm các số tự nhiên n để phân số
có giá trị là một số nguyên.
Đáp án đề thi khảo sát chất lượng đầu năm môn Toán lớp 7
A/ TRẮC NGHIỆM: (2 điểm) mỗi câu đúng cho 0,5 điểm
|
Câu |
1 |
2 |
3 |
4 |
|
Đáp án |
A |
D |
B |
D |
B/ TỰ LUẬN (8 điểm)

