Đề thi thử THPT Quốc gia môn Toán lần 2 năm 2016 trường THPT Yên Lạc, Vĩnh Phúc
Đề thi thử THPT Quốc gia môn Toán
Đề thi thử THPT Quốc gia môn Toán lần 2 năm 2016 trường THPT Yên Lạc, Vĩnh Phúc được VnDoc.com sưu tầm và đăng tải là tài liệu ôn thi THPT Quốc gia môn Toán có đáp án hay dành cho các bạn tham khảo, luyện đề thi chuẩn bị cho các kì thi quan trọng sắp tới. Mời các bạn tham khảo.
Đề thi thử THPT Quốc gia môn Toán lần 1 năm 2016 trường THPT Yên Lạc 2, Vĩnh Phúc
|
SỞ GD& ĐT VĨNH PHÚC TRƯỜNG THPT YÊN LẠC
|
ĐỀ KHẢO SÁT CHẤT LƯỢNG LẦN 2 - LỚP 12 NĂM HỌC 2015-2016 ĐỀ THI MÔN: TOÁN Thời gian làm bài 150 phút, không kể thời gian giao đề |
Câu 1 (2,0 điểm): Cho hàm số
có đồ thị kí hiệu là (C).
a) Khảo sát và vẽ đồ thị (C) của hàm số đã cho.
b) Tìm m để đường thẳng y = -x + m cắt đồ thị tại hai điểm phân biệt A, B sao cho AB = 2√2.
Câu 2 (1,0 điểm):
a) Cho -π/2 < α < 0 và α = 3/5. Tính giá trị của biểu thức: P = cos(α - π/3).
b) Đội văn nghệ của một lớp có 5 bạn nam và 7 bạn nữ. Chọn ngẫu nhiên 5 bạn tham gia biểu diễn, tìm xác suất để trong 5 bạn được chọn có cả nam và nữ, đồng thời số bạn nam nhiều hơn số bạn nữ.
Câu 3 (1,0 điểm):
a) Giải phương trình:
.
b) Tính giá trị của biểu thức:
, biết rằng a, b là các số thực dương khác 1.
Câu 4 (1,0 điểm): Tìm giá trị nhỏ nhất của hàm số y = x.logx trên khoảng (0;10).
Câu 5 (1,0 điểm): Trong mặt phẳng với hệ tọa độ Oxy cho đường thẳng Δ: y - 2 = 0 và các điểm A(0; 6), B(4; 4). Viết phương trình tổng quát của đường thẳng AB. Tìm tọa độ điểm C trên đường thẳng Δ sao cho tam giác ABC vuông tại B.
Câu 6 (1,0 điểm): Cho hình chóp S.ABCD có đáy ABCD là hình vuông, cạnh AB = 2a. Hình chiếu vuông góc của S lên mặt phẳng (ABCD) trùng với trọng tâm G của tam giác ABC, góc giữa SA và mặt phẳng bằng 300. Tính theo a thể tích khối chóp S.ABCD và cosin của góc giữa đường thẳng AC và mặt phẳng (SAB).
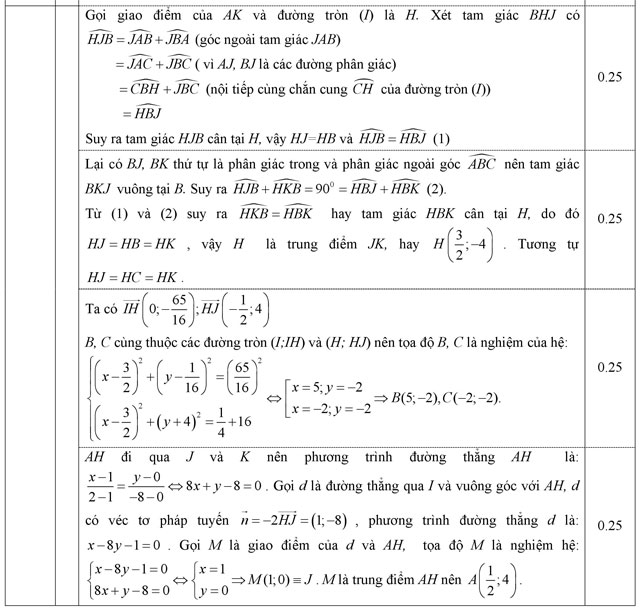
Câu 7 (1,0 điểm): Trong mặt phẳng với hệ tọa độ Oxy cho tam giác ABC có tâm đường tròn ngoại tiếp là I(3/2; 1/16), tâm đường tròn nội tiếp là J(1; 0). Đường phân giác trong góc BAC và đường phân giác ngoài góc ABC cắt nhau tại (2; -8). Tìm tọa độ các đỉnh của tam giác ABC biết đỉnh B có hoành độ dương.
Câu 8 (1,0 điểm): Giải bất phương trình: ![]()
Câu 9 (1,0 điểm): Cho các số thực dương x, y thỏa mãn điều kiện: xy + 1 ≤ y. Tìm giá trị lớn nhất của biểu thức:
![]()
Đáp án đề thi thử THPT Quốc gia môn Toán







