Đề thi thử THPT Quốc gia môn Toán lần 3 năm 2015 trường THPT Chuyên Lý Tự Trọng, Cần Thơ
Đề thi thử THPT Quốc gia môn Toán
Đề thi thử THPT Quốc gia môn Toán lần 3 năm 2015 trường THPT Chuyên Lý Tự Trọng, Cần Thơ là đề thi thử đại học môn Toán có đáp án mà VnDoc.com xin gửi tới các bạn tham khảo và nghiên cứu, chuẩn bị ôn tập tốt nhất cho kì thi Quốc gia đang tới rất gần. Mời các bạn tham khảo.
Đề thi thử THPT Quốc gia môn Hóa học lần 3 năm 2015 trường THPT Chuyên Lý Tự Trọng, Cần Thơ
Tổng hợp các đề thi thử THPT Quốc gia môn Toán tháng 4 năm 2015
Bí quyết tránh mất điểm khi làm bài thi THPT Quốc gia môn Toán
| SỞ GIÁO DỤC VÀ ĐÀO TẠO TP CẦN THƠ TRƯỜNG THPT CHUYÊN LÝ TỰ TRỌNG |
ĐỀ THI THỬ THPT QUỐC GIA NĂM HỌC 2014-2015 MÔN: TOÁN LẦN III Thời gian làm bài: 180 phút, không kể thời gian phát đề |
Câu 1 (2,0 điểm). Cho hàm số y = x3 - 3x2 + m(x + 1) + m + 3 (1), với m là tham số thực.
a) Khảo sát sự biến thiên và vẽ đồ thị của hàm số (1) khi m = 0.
b) Tìm các giá trị của m để hàm số (1) đạt cực đại và cực tiểu tại các điểm x1, x2 sao cho 1/x1 + 1/x2 = 2.
Câu 2 (1,0 điểm). Giải các phương trình
a) sin2x - 3sinx + cos2x + 3 = 0.
b) log21/2 (x - 1) - 8log4 (x - 1) + 3 = 0.
Câu 3 (1,0 điểm).
a) Trong mặt phẳng phức, gọi A và B là các điểm biểu diễn của các nghiệm phức của phương trình z2 + 2z + 4 = 0. Hãy tính độ dài của đoạn AB.
b) Cho M là tập hợp các số tự nhiên gồm 4 chữ số khác nhau được tạo bởi các chữ số 0,1, 2, 3, 4, 5, 6. Lấy ngẫu nhiên một số từ tập M. Tính xác suất để số được chọn chia hết cho 2.
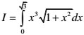
| Câu 4 (1,0 điểm). Tính tích phân | ![]() |
Câu 5 (1,0 điểm). Cho lăng trụ ABC.A'B'C', có đáy ABC là tam giác đều cạnh a, cạnh bên tạo với đáy một góc 600. Hình chiếu vuông góc của đỉnh A' lên mặt đáy ABC trùng với trọng tâm G của tam giác ABC. Tính thể tích của khối lăng trụ ABC.A'B'C' và khoảng cách giữa hai đường thẳng AA' và BC.
Câu 6 (1,0 điểm). Trong không gian với hệ tọa độ Oxyz, cho hai đường thẳng (d1): x/1 = y/1 = z/2 va (d2): (x + 1)/-2 = y/1 = (z - 1)/1. Tìm toạ độ các điểm M ∈ (d1); N ∈ (d2) sao cho MN song song với mặt phẳng (P): x - y z = 0 và MN = √2.
Câu 7 (1,0 điểm). Trong mặt phẳng với hệ tọa độ Oxy, cho tam giác ABC có trọng tâm G(-2/3; 0) và bán kính đường tròn ngoại tiếp R = 5. Gọi M(-4; 0) và N(0; -3) lần lượt là chân các đường cao dựng từ B và C của tam giác ABC. Tìm tọa độ các đỉnh của tam giác ABC.
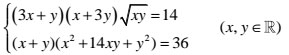
Câu 8 (1,0 điểm). Giải hệ phương trình

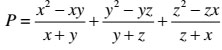
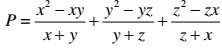
Câu 9 (1,0 điểm). Cho các số thực dương x, y, z. Tìm giá trị nhỏ nhất của biểu thức

Đáp án đề thi thử THPT Quốc gia môn Toán
Câu 1 (2,0 điểm).
1. Khi m = 0 thì hàm số trở thành y = x3 - 3x2 + 3
Tập xác định D = R
y' = 3x2 - 6x
y' = 0 ↔ 3x2 - 6x = 0 ↔ x = 0 hoặc x = 2.
Giới hạn
| lim y | = -∞ | lim y | = +∞ |
| x→-∞ | x→+∞ |
Bảng biến thiên

Hàm số đồng biến trên các khoảng (-∞; 0) và (2; +∞), nghịch biến trên khoảng (0; 2)
Hàm số đạt cực đại tại x = 0, yCD = y(0) = 3, đạt cực tiểu tại x = 2, yCT = y(2) = -1.
y'' = 6x - 6; cho y'' = 0 ↔ x = 1 → y(1) = 1.
Đồ thị có một điểm uốn U(1; 1)
Đồ thị
Cho x = 0 => y = 3

2. y' = 3x2 - 6x + m
y' = 0 ↔ 3x2 - 6x + m = 0 (1)
Hàm số đạt cực đại và cực tiểu tại các điểm x1, x2 khi pt (1) có hai nghiệm phân biệt x1, x2 tức là Δ' > 0 ↔ 9- 3m > 0 ↔ m < 3 (*)
1/x1 + 1/x2 = 2 ↔ (x1 + x2)/x1x2 = 2 ↔ x1 + x2 = 2x1x2, x1x2 ≠ 0 (2)
Theo Vi-et: x1 + x2 = 2, x1x2 = m/3. Khi đó (2) trở thành:
2 = 2m/3, m ≠ 0 ↔ m = 3 (loại)
Câu 2 (1,0 điểm)
a) sin2x - 3sinx + cos2x + 3 = 0 ↔ sin2x - 3sinx - 2sin2x + 4 = 0 ↔ sin2x + 3sinx - 4 = 0
↔ sinx = 1 hoặc sinx = -4 (VN) ↔ x = π/2 + k2π, k ∈ Z
b) log21/2 (x - 1) - 8log4 (x - 1) + 3 = 0 (1)
ĐK: x > 1
Pt (1) ↔ log22(x - 1) - 4log2(x - 1) + 3 = 0
↔ log2(x - 1) = 1 hoặc log2(x - 1) = 3 ↔ x - 1 = 2 hoặc x - 1 = 8 ↔ x = 3 (nhận) hoặc x = 9 (nhận)
