Đề thi thử THPT Quốc gia năm 2017 môn Sinh học trường THPT Trần Hưng Đạo, thành phố Hồ Chí Minh (Lần 3)
Đề thi thử THPT Quốc gia 2017 môn Sinh học
Với mong muốn giúp các bạn học sinh lớp 12 dễ dàng hơn trong việc ôn tập môn Sinh học chuẩn bị cho kì thi THPT Quốc gia sắp đến. Thư viện đề thi VnDoc xin giới thiệu: Đề thi thử THPT Quốc gia năm 2017 môn Sinh học trường THPT Trần Hưng Đạo, thành phố Hồ Chí Minh (Lần 3)
Đề thi thử THPT Quốc gia năm 2017 môn Sinh học trường THPT Trần Hưng Đạo, TP. Hồ Chí Minh (Lần 2)
Đề thi thử THPT Quốc gia năm 2017 môn Sinh học trường THPT Trần Hưng Đạo, TP. Hồ Chí Minh (Lần 1)
| SỞ GD & ĐT TP. HỒ CHÍ MINH TRƯỜNG THPT TRẦN HƯNG ĐẠO |
ĐỀ THI THỬ ĐẠI HỌC ĐỢT 3 NĂM 2017 MÔN SINH HỌC – KHỐI B Ngày thi: 20/02/2017 Thời gian làm bài: 50 phút; (40 câu trắc nghiệm) Mã đề thi 482 |
Câu 1: Đem lai giữa bố mẹ đều thuần chủng nhận được F1 đồng loạt hoa đỏ, quả ngọt. F1 tự thụ phấn thu được F2 với 4 kiểu hình 1431 hoa đỏ, quả ngọt: 1112 hoa trắng, quả ngọt: 477 hoa đỏ, quả chua: 372 hoa trắng, quả chua. Biết rằng vị quả do 1 locus chi phối. Nếu sử dụng F1 lai với một cây khác chưa biết kiểu gen, đời sau thu được 63 trắng, ngọt: 21 trắng, chua: 20 đỏ, ngọt :7 đỏ, chua. Cây đem lai F1 có kiểu hình là:
A. Trắng, ngọt. B. Đỏ, ngọt.
C. Trắng, chua. D. Đỏ, chua.
Câu 2: Loài báo đốm châu phi có tập tính săn mồi là chọn những con nai ốm, chạy chậm để săn. Với các cá thể nai chạy nhanh, báo vừa mất sức lại không bắt được con mồi. Quá trình này trải qua nhiều thế hệ, dự đoán nào sau đây là phù hợp nhất.
A. Các loài báo sẽ tiến hóa theo hướng tăng khả năng tốc độ chạy để đuổi kịp những con nai to khỏe vì nó nhiều thịt hơn.
B. Báo sẽ săn hết các cá thể nai trong quần thể nhờ tăng tốc độ chạy và nhanh chóng chuyển sang một đối tượng thức ăn khác là lợn lòi chạy chậm hơn.
C. Tốc độ chạy của nai, báo sẽ tăng dần qua các thế hệ đến một giới hạn nào đó.
D. Do không săn được nai, báo sẽ chuyển sang ăn các con mồi khác.
Câu 3: Cho quần thể có cấu trúc di truyền như sau: P: 0,4 AABb : 0,4 AaBb : 0,2 aabb. Người ta tiến hành cho quần thể trên tự thụ phấn qua 1 thế hệ. Tỷ lệ cơ thể mang hai cặp gen đồng hợp lặn ở F1 là
A. 3/8 B. 9/40
C. 36/625 D. 21/160
Câu 4: Quá trình phiên mã kết thúc khi enzim ARN plymeraza di chuyển đến cuối gen gặp
A. Tín hiệu kết thúc trên mạch mã gốc ở đầu 5'.
B. Bộ ba kết thúc trên mạch mã gốc ở đầu 5'.
C. Tín hiệu kết thúc trên mạch mã gốc ở đầu 3'.
D. Bộ ba kết thúc trên mạch mã gốc ở đầu 3' .
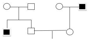
Câu 5: Bệnh bạch tạng do gen nằm trên NST thường quy định. Xét cặp vợ chồng trong phả hệ sau:

Trong số phát biểu dưới đây, có bao nhiêu phát biểu đúng là:
(1) Bệnh do gen lặn nằm trên nhiễm sắc thể thường quy định.
(2) Cả hai vợ chồng ở thế hệ thứ hai đều có kiểu gen dị hợp.
(3) Xác suất cặp vợ chồng ở thế hệ thứ hai sinh con bị bệnh là 1/6
(4) Xác suất cặp vợ chồng ở thế hệ thứ hai sinh 3 con có ít nhất 1 con bình thường là 17/18.
(5) Xác suất cặp vợ chồng ở thế hệ thứ hai sinh 2 con 1 con bình thường, 1 con bị bệnh là 1/4.
A. 2. B. 3. C. 4. D. 1
Câu 6: Phép lai sau được thực hiện: ID/ID x id/id. Sau đó F1 được lai với cá thể đồng hợp lặn ở cả hai tính trạng và kết quả là: I-D- 437; I-dd 7; iiD- 3; iidd 473. Giả sử hai locus có liên kết, khoảng cách theo đơn vị bản đồ của 2 gen đó là bao nhiêu trên bản đồ di truyền.
A. 50cM. B. 7cM. C. 1cM. D. 10cM.
Câu 7: Sự phân tầng thẳng đứng trong quần xã là do nguyên nhân:
A. Phân bố ngẫu nhiên. B. Tiết kiệm không gian sống.
C. Trong quần xã có nhiều quần thể. D. Nhu cầu không đồng đều ở các quần thể.
Câu 8: Trong quá trình di truyền tính trạng, nhiều tính trạng có thể luôn đi cùng nhau. Điều này có thể giải thích trên hai hiện tượng: gen đa hiệu hoặc di truyền liên kết hoàn toàn. Vậy làm thế nào để phân biệt được 2 hiện tượng nói trên.
A. Thực hiện phép lai phân tích. B. Gây đột biến số lượng nhiễm sắc thể.
C. Thực hiện phép lai thuận nghịch. D. Gây đột biến gen quy định tính trạng.
Câu 9: Ở một loài bướm, màu cánh được xác định bởi một locut gồm 3 alen: A1(cánh đen) > A2(cánh xám) > A3(cánh trắng). Trong một đợt điều tra một quần thể bướm lớn sống ở Cuarto, người ta thu được tần số các alen như sau: A1=0,5; A2=0,4 và A3=0,1.Nếu quần thể bướm này tiếp tục giao phối ngẫu nhiên, tần số các cá thể bướm có kiểu hình cánh đen, cánh xám và cánh trắng ở thế hệ sau sẽ là
A. 0,24: 0,75: 0,01. B. 0,75: 0,24: 0,01. C. 0,83: 0,16: 0,01. D. 0,75: 0,15: 0,1.
Câu 10: Ở một một loài động vật có kiểu gen Bv/bV, khi theo dõi 2000 tế bào sinh tinh trong điều kiện thí nghiệm, người ta phát hiện 1640 tế bào không xẩy ra hoán vị gen giữa V và v. Như vậy khoảng cách giữa B và v là:
A. 36 cM. B. 18 cM. C. 3,6 cM. D. 9 cM.
Câu 11: Hiện tượng phản ánh dạng biến động số lượng cá thể của quần thể sinh vật không theo chu kì.
A. Ở miền Bắc Việt Nam, số lượng ếch nhái giảm vào những năm có mùa đông giá rét, nhiệt độ xuống dưới 80 C.
B. Ở Việt Nam, hàng năm vào thời gian thu hoạch lúa, ngô,... chim cu gáy thường xuất hiện nhiều.
C. Ở Việt Nam, vào mùa xuân khí hậu ấm áp, sâu hại thường xuất hiện nhiều.
D. Ở đồng rêu phương Bắc, cứ 3 đến 4 năm, số lượng cáo lại tăng lên gấp 100 lần và sau đó lại giảm.
Câu 12: Ở ruồi giấm xét phép lai sau:
. Biết 1 gen quy định 1 tính trạng và trội hoàn toàn. Tỉ lệ cơ thể mang 4 tính trạng lặn và 1 tính trạng trội là 1,875%. Biết hoán vị gen và thụ tinh bình thường không có đột biến. Tỉ lệ cơ thể mang 3 tính trạng trội và 2 tính trạng lặn ở đời con là bao nhiêu.
A. 18,125%. B. 10,265%. C. 23,75%. D. 17,5%.
Câu 13: Theo quan niệm hiện đại, khi nói về chọn lọc tự nhiên, phát biểu nào sau đây không đúng.
A. Chọn lọc tự nhiên tác động trực tiếp lên kiểu gen qua đó làm biến đổi tần số alen của quần thể.
B. Chọn lọc tự nhiên thực chất là quá trình phân hoá khả năng sống sót và khả năng sinh sản của các cá thể với các kiểu gen khác nhau trong quần thể.
C. Chọn lọc tự nhiên chỉ đóng vai trò sàng lọc và giữ lại những cá thể có kiểu gen quy định kiểu hình thích nghi mà không tạo ra các kiểu gen thích nghi.
D. Khi môi trường thay đổi theo một hướng xác định thì chọn lọc tự nhiên sẽ làm biến đổi tần số alen của quần thể theo hướng xác định.
Câu 14: Năm 1928, Kapetrenco đã tiến hành lai cây cải bắp (loài Brassica 2n = 18) với cây cải củ (loài Raphanus 2n = 18) tạo ra cây lai khác loài, hầu hết các cây lai này đều bất thụ, một số cây lai ngẫu nhiên bị đột biến số lượng nhiễm sắc thể làm tăng gấp đôi bộ nhiễm sắc thể tạo thành các thể song nhị bội. Trong các đặc điểm sau, có bao nhiêu đặc điểm đúng với các thể song nhị bội này.
(1) Mang vật chất di truyền của hai loài ban đầu.
(2) Trong tế bào sinh dưỡng, các nhiễm sắc thể tồn tại thành từng nhóm, mỗi nhóm gồm 4 nhiễm sắc thể tương đồng.
(3) Có khả năng sinh sản hữu tính.
(4) Có kiểu gen đồng hợp tử về tất cả các cặp gen.
A. 2. B. 1. C. 3. D. 4.
Câu 15: Các ví dụ nào sau đây thuộc về cơ chế cách li sau hợp tử.
(1) Hai loài rắn sọc sống trong cùng một khu vực địa lí, một loài chủ yếu sống dưới nước, loài kia sống trên cạn.
(2) Một số loài kì giông sống trong một khu vực vẫn giao phối với nhau, tuy nhiên phần lớn con lai phát triển không hoàn chỉnh.
(3) Ngựa lai với lừa đẻ ra con la bất thụ.
(4) Trong cùng một khu phân bố địa lí, chồn đốm phương đông giao phối vào cuối đông, chồn đốm phương tây giao phối vào cuối hè.
(5) Các phân tử prôtêin bề mặt của trứng và tinh trùng nhím biển tím và nhím biển đỏ không tương thích nên không thể kết hợp được với nhau.
(6) Hai dòng lúa tích lũy các alen đột biến lặn ở một số locut khác nhau, hai dòng vẫn phát triển bình thường, hữu thụ nhưng con lai giữa hai dòng mang nhiều alen đột biến lặn nên có kích thước rất nhỏ và cho hạt lép.
Đáp án đúng là:
A. (2), (3), (6). B. (1), (3), (6). C. (2), (3), (5). D. (2), (4), (5).
Câu 16: Các nhà khoa học đã phát hiện ra khi để chung vỏ prôtêin của thể ăn khuẩn T2 và ADN của thể ăn khuẩn T4 thì tạo được một thể ăn khuẩn ghép. Nếu ta cho thể ăn khuẩn ghép đó lây nhiễm vào một vi khuẩn, các thể ăn khuẩn nhân bản lên trong tế bào vật chủ sẽ có:
A. Prôtêin T4 và ADN của T2
B. Prôtêin T4 và ADN của T4
C. Prôtêin T2 và ADN của T2
D. Prôtêin T2 và ADN của T4.
Câu 17: Ở người, gen B quy định mắt nhìn màu bình thường là trội hoàn toàn so với alen b gây bệnh mù màu đỏ – xanh lục, gen này nằm trên nhiễm sắc thể giới tính X, không có alen tương ứng trên Y. Một cặp vợ chồng sinh được một con gái bị mù màu và một con trai mắt nhìn màu bình thường. Biết rằng không có đột biến mới xảy ra, kiểu gen của cặp vợ chồng này là
A. XbXb × XBY. B. XBXb × XBY. C. XBXB × XbY. D. XBXb × XbY.
Câu 18: Trong tạo giống cây trồng, phương pháp nào dưới đây cho phép tạo ra cây trồng mang đặc điểm của hai loài khác nhau
A. Nuôi cấy hạt phấn trong ống nghiệm tạo các mô đơn bội, sau đó xử lý bằng côsixin.
B. Lai tế bào xôma khác loài.
C. Lai hai dòng thuần có kiểu gen khác nhau.
D. Tự thụ phấn bắt buộc ở cây giao phấn.
Câu 19: Tương tác nào dưới đây giữa các loại đại phân tử hữu cơ cho phép phát triển thành cơ thể sinh vật có khả năng tự nhân đôi, tự đổi mới.
A. Protein- Protein. B. Protein- Cacbohidat.
C. Protein- Axit nucleic. D. Protein- Lipit.
Câu 20: Cho các hoạt động của con người, có bao nhiêu hoạt động nhằm nâng cao hiệu quả sử dụng hệ sinh thái.
(1) Bón phân, tưới nước, diệt cỏ dại đối với các hệ sinh thái nông nghiệp.
(2) Khai thác triệt để nguồn tài nguyên không tái sinh.
(3) Loại bỏ các loại tảo độc, cá dữ trong các hệ sinh thái ao hồ nuôi tôm, cá.
(4) Xây dựng các hệ sinh thái nhân tạo một cách hợp lí.
(5) Bảo vệ các loài thiên địch.
(6) Tăng cường sử dụng các chất hóa học để tiêu diệt các loài sâu hại.
A. 3. B. 2. C. 5. D. 4.
Câu 21: Vi khuẩn gây bệnh do kích thước nhỏ, tuổi thọ ngắn, sức sinh sản cao nên số lượng bùng phát rất nhanh. Nguyên nhân chủ yếu nào không cho phép chúng luôn tăng số lượng để thường xuyên gây bệnh hiểm nghèo cho con người, vật nuôi và cây trồng.
A. Bị kiểm soát bằng các loại thuốc kháng sinh.
B. Rất mẫn cảm với sự biến động của các nhân tố vô sinh của môi trường
C. Bị các sinh vật khác sử dụng quá nhiều làm thức ăn.
D. Thiếu nguồn dinh dưỡng.
Câu 22: Bệnh bạch tạng ở người do đột biến gen lặn trên NST thường. Một cặp vợ chồng không bị bệnh bạch tạng nhưng đứa con gái đầu lòng của họ bị bạch tạng. Xác suất để sinh 2 đứa con tiếp theo đều là con trai không bị bạch tạng là:
A. 9/64 B. 12/64 C. 18/64 D. 15/64
Câu 23: Người ta dùng kĩ thuật chuyển gen để chuyển gen kháng thuốc kháng sinh tetraxiclin vào vi khuẩn E.coli không mang gen kháng thuốc kháng sinh. Để xác định đúng dòng vi khuẩn mang ADN tái tổ hợp mong muốn, người ta đem nuôi các dòng vi khuẩn này trong một môi trường có nồng độ tetraxiclin thích hợp. Dòng vi khuẩn mang ADN tái tổ hợp mong muốn sẽ
A. Tồn tại một thời gian nhưng không sinh trưởng và phát triển.
B. Sinh trưởng và phát triển bình thường.
C. Bị tiêu diệt hoàn toàn.
D. Sinh trưởng và phát triển bình thường khi thêm vào môi trường một loại thuốc kháng sinh khác.
Câu 24: Bằng phương pháp tế bào học, người ta xác định được trong các tế bào sinh dưỡng của một cây đều có 40 nhiễm sắc thể. Người ta lại thấy tại một mô các tế bào có 60 nhiễm sắc thể. Khả năng lớn nhất là
A. Đó là những hạt phấn.
B. Mô đó là một lá non.
C. Đó là một cây thuộc bộ dương xỉ.
D. Đó là những tế bào nội nhũ (phôi nhũ).
Câu 25: Khi trong một sinh cảnh cùng tồn tại nhiều loài gần nhau về nguồn gốc và có chung nguồn sống thì sự cạnh tranh giữa các loài sẽ
A. Làm gia tăng số lượng cá thể của mỗi loài.
B. Làm tăng thêm nguồn sống trong sinh cảnh.
C. Làm chúng có xu hướng phân li ổ sinh thái.
D. Làm cho các loài trên đều bị tiêu diệt.
Câu 26: Các cấu trúc và cơ chế di truyền có nguyên tắc bổ sung là:
(1) ADN có cấu trúc một mạch. (2) mARN.
(3) tARN. (4) AND có cấu trúc mạch kép.
(5) ARN có cấu trúc mạch đơn. (6) Phiên mã.
(7) Dịch mã. (8) Nhân đôi ADN.
A. 3,4, 5, 6, 7, 8. B. 1,2, 3, 4, 6. C. 2, 3, 6, 7, 8. D. 3, 4, 6,7, 8.
Câu 27: Cho các phát biểu sau đây về đặc điểm của một quần thể sinh vật , có bao nhiêu đặc điểm đúng
(1) Bao gồm nhiều cá thể sinh vật.
(2) Tập hợp các cá thể cùng loài.
(3) Các cá thể có khả năng giao phối với nhau.
(4) Gồm nhiều cá thể cùng loài phân bố ở các nơi cách xa nhau.
(5) Các cá thể có kiểu gen hoàn toàn giống nhau.
(6) Có khu vực phân bố rộng, được giới hạn bởi các chướng ngại thiên nhiên như sông, núi, eo biển...
(7) Trong quá trình hình thành quần thể, tất cả các cá thể đều thích nghi với môi trường mới mà chúng phát tán đến.
A. 6. B. 4. C. 3. D. 5.
Câu 28: Trong đại Trung sinh, chim và thú phát sinh ở kỉ.
A. Krêta (Phấn trắng) B. Pecmi. C. Jura. D. Triat (Tam điệp).
Câu 29: Dạng đột biến nào sau đây xảy ra không thể dẫn tới tạo ra thể khảm
A. Đột biến gen xảy ra ở giai đoạn phôi có 128 tế bào.
B. Đột biến số lượng nhiễm sắc thể xảy ra ở chồi bên của thực vật.
C. Đột biến gen trội xảy ra trong quá trình phát sinh giao tử.
D. Đột biến cấu trúc nhiễm sắc thể xảy ra ở tế bào gan của động vật.
Câu 30: Quy luật phân li độc lập góp phần giải thích hiện tượng.
A. Các gen phân li và tổ hợp trong giảm phân.
B. Biến dị tổ hợp vô cùng phong phú ở loài giao phối.
C. Sự di truyền các gen tồn tại trong nhân tế bào.
D. Các gen nằm trên cùng một nhiễm sắc thể.
Câu 31: Có 1 tế bào sinh tinh của một cá thể có kiểu gen
ff tiến hành giảm phân bình thường hình thành tinh trùng. Số loại tinh trùng tối đa có thể tạo ra là.
A. 2. B. 6. C. 4. D. 8.
Câu 32: Xét các nhân tố tiến hóa .Nhân tố có thể làm xuất hiện alen mới trong quần thể
(1) Đột biến. (2) Giao phối không ngẫu nhiên. (3) Chọn lọc tự nhiên.
(4) Các yếu tố ngẫu nhiên; (5) Di- nhập gen.
A. 1, 5. B. 2, 5. C. 1, 2, 3. D. 1, 2, 3, 5.
Câu 33: Sự linh hoạt trong các dạng hoạt động chức năng của ADN (nhân đôi, phiên mã) được đảm bảo bởi các yếu tố nào sau đây.
A. Tính bền vững của các liên kết hóa trị giữa các nucleotit trên cùng một mạch đơn.
B. Sự kết hợp của ADN với protein loại histon trong cấu trúc sợi nhiễm sắc.
C. Tính yếu của các liên kết hidro giữa 2 mạch đơn đối diện của phân tử ADN.
D. Cấu trúc không gian xoắn kép của ADN .
Câu 34: Khi nói về chu trình sinh địa hóa cacbon, phát biểu nào sau đây là đúng.
A. Cacbon đi vào chu trình dưới dạng cacbon monooxit (CO).
B. Sử dụng quá nhiều nhiên liệu hoá thạch sẽ nhấn chìm dần các vùng đất thấp ven biển.
C. Sự vận chuyển cacbon qua mỗi bậc dinh dưỡng không phụ thuộc vào hiệu suất sinh thái của bậc dinh dưỡng đó.
D. Toàn bộ lượng cacbon sau khi đi qua chu trình dinh dưỡng được trở lại môi trường không khí.
Câu 35: Trong quần thể người có một số thể đột biến sau. Những thể đột biến nhiễm sắc thể là
(1) Ung thư máu. (2) Hồng cầu hình liềm. (3) Bạch tạng. (4) Claiphentơ.
(5) Dính ngón 2 và 3. (6) Máu khó đông. (7) Tơcnơ. (8) Đao. (9) Mù màu.
A. (1), (4), (7), (8). B. (2),(4), (7), (8),(9). C. (1), (4), (5), (7), (8). D. (4), (5), (6),(7) (8).
Câu 36: Ở một loài thực vật, màu sắc hoa là do sự tác động của hai cặp gen (A,a và B,b) phân li độc lập. Gen A và gen B tác động đến sự hình thành màu sắc hoa theo sơ đồ bên. Các alen a và b không có chức năng trên. Những cây hoa trắng trong loài này có số kiểu gen tối đa là
A. 3 kiểu gen. B. 4 kiểu gen. C. 6 kiểu gen. D. 5 kiểu gen.
Câu 37: Một phân tử ADN mạch kép nhân đôi một số lần liên tiếp đã tạo ra được 30 mạnh pôlinuclêôtit mới. Xét các kết luận sau đây. Có bao nhiêu kết luận đúng.
(1) Nếu diễn ra theo nguyên tắc bổ sung thì tất cả các ADN con đều có cấu trúc giống nhau.
(2) Trong các phân tử ADN con được tạo ra, có 15 phân tử cấu tạo hoàn toàn từ nguyên liệu của môi trường nội bào.
(3) Phân tử ADN nói trên đã nhân đôi 4 lần liên tiếp.
(4) Trong các phân tử ADN con được tạo ra, có 14 phân tử cấu tạo hoàn toàn từ nguyên liệu của môi trường nội bào.
A. 3. B. 4. C. 2. D. 1.
Câu 38: Cơ thể nào được đề cập dưới đây chắc chắn được chuyển gen.
(1). Cây dương xỉ phát triển trong môi trường nuôi cấy từ tế bào rễ cây dương xỉ.
(2). Cây hướng dương chứa gen cố định đạm của vi khuẩn.
(3). Một người được điều trị bằng insulin sản xuất bởi vi khuẩn E.coli.
(4). Trong điều trị bệnh, một người được truyền đúng nhóm máu.
A. (2), (3). B. (2). C. (1), (2), (3). D. (1), (4).
Câu 39: Claytonia virginia là một khu rừng các cây cỏ mùa xuân với những bông hoa với nhiều màu sắc từ trắng tới hồng nhạt, tới hồng sang. Các con sên thích ăn hoa màu hồng hơn hoa màu trắng (phụ tuộc vào hóa chất khác nhau giữa hai loại hoa, và những cây hoa đó thường là sẽ chết. Ong cũng thích các cây hoa màu hồng,vì vậy các cây hoa màu hồng thường thụ phấn hiệu quả hơn các cây hoa màu trắng và sinh nhiều thế hệ kế tiếp hơn. Và các nhà khoa học thường nhận thấy màu sắc của các loài hoa luôn cân bằng trong quần thể đó từ năm này qua năm khác. Nếu nhà khoa học bắt hế ốc sên khỏi quần thể đó bạn hãy dự đoán sự phân bố màu sắc hoa ở quần thể sau khi loại bỏ ốc sên qua thời gian.
A. Phần trắm màu hoa hồng sẽ tăng theo thời gian.
B. Sự phân bố màu sắc hoa sẽ không thay đổi.
C. Phần trắm màu hoa trắng sẽ tăng qua thời gian.
D. Sự phân bố màu sắc hoa sẽ biến động ngẫu nhiên theo thời gian.
Câu 40: Trạng thái cân bằng sinh học của quần xã được thiết lập là nhờ.
A. Có đủ nguồn sống trong khu vực. B. Sự đấu tranh sinh tồn.
C. Các quan hệ hỗ trợ giữa các loài. D. Có sự khống chế sinh học.
----------- HẾT ----------
Họ, tên thí sinh:..........SBD: ..........................