Đề thi thử THPT Quốc gia năm 2017 môn Sinh học trường THPT Trần Phú, Hà Tĩnh (Lần 1)
Đề thi thử THPT Quốc gia 2017 môn Sinh học
Đề thi thử THPT Quốc gia năm 2017 môn Sinh học trường THPT Trần Phú, Hà Tĩnh (Lần 1). Cấu trúc đề thi trình bày rõ ràng và khoa học, nội dung bám sát chương trình học theo yêu cầu và quy định của Bộ GD&ĐT. Tham khảo đề thi đề các bạn nắm vững kiến thức, làm quen với cấu trúc đề thi và tích lũy kinh nghiệm giải đề. Chúc các bạn ôn thi thật tốt và đạt kết quả cao!
| SỞ GD & ĐT HÀ TĨNH TRƯỜNG THPT TRẦN PHÚ ĐỀ CHÍNH THỨC |
KÌ THI THỬ THPT QUỐC GIA 2017 – LẦN 1 MÔN THI: SINH HỌC Thời gian làm bài: 50 phút, không kể thời gian phát đề Mã đề thi 101 |
Câu 1: Hiện tượng con lai có năng suất, phẩm chất, sức chống chịu, khả năng sinh trưởng và phát triển vượt trội bố mẹ gọi là:
A. thoái hóa giống. B. ưu thế lai.
C. bất thụ. D. tính trạng trội.
Câu 2: Những đột biến cấu trúc NST gây ảnh hưởng nghiêm trọng nhất tới sinh vật là:
A. Mất đoạn và chuyển đoạn lớn
B. Đảo đoạn và chuyển đoạn.
C. Mất đoạn và lặp đoạn.
D. Lặp đoạn và chuyển đoạn.
Câu 3: Vai trò của enzim ADN polimeraza trong quá trình nhân đôi ADN là
A. tổng hợp đoạn ARN mồi tạo đầu 3' OH cho kéo dài mạch.
B. nối các đoạn Okazaki thành một mạch mới được tổng hợp.
C. sử dụng một mạch làm khuôn tổng hợp nên mạch mới theo nguyên tắc bổ sung.
D. phá vỡ các liên kết hyđrô giữa 2 mạch của ADN.
Câu 4: Khi nói về gen ở sinh vật nhân thực, nhận định nào sau đây không chính xác?
A. Gen ở sinh vật nhân sơ liên tục còn ở sinh vật nhân thực thì phân mảnh thành các đoạn intron và exon.
B. Vùng điều hòa của gen nằm ở đầu 3' còn vùng kết thúc nằm ở đầu 5' của mạch mã gốc.
C. Gen là một đoạn của phân tử ADN mang thông tin mã hóa cho một sản phẩm xác định (sản phẩm đó có thể là chuổi polipeptit hay ARN)
D. Mỗi gen quy định tổng hợp một loại mARN và tổng hợp một loại protein và quy định một tính trạng.
Câu 5: Nhân tố làm biến đổi cấu trúc di truyền của quần thể theo hướng nhất định là:
(1) Đột biến.
(2) Di nhập gen.
(3) Giao phối không ngẫu nhiên.
(4) Chọn lọc tự nhiên.
(5) Các cơ chế cách li.
A. 1 và 2. B. 2 và 3. C. 3 và 4. D. 4 và 5.
Câu 6: Khi nói về môi trường sống của sinh vật kết luận không chính xác là:
A. Môi trường sống chủ yếu của sinh vật gồm: Môi trường đất, trên cạn, nước và môi trường sinh vật.
B. Vịt trời kiếm ăn trên các đầm nước. Môi trường sống của chúng là môi trường trên cạn.
C. Châu chấu ăn lá sống và kiếm ăn trên cây. Môi trường sống của chúng là môi trường sinh vật.
D. Giun đất sống, kiếm ăn trong đất. Môi trường sống của chúng là môi trường đất.
Câu 7: Khi nói về quan hệ giữa các cá thể trong quần thể, phát biểu nào sau đây sai?
A. Quan hệ hỗ trợ đảm bảo cho quần thể tồn tại ổn định, khai thác tốt nguồn sống của môi trường.
B. Các cá thể hỗ trợ nhau trong quần thể làm tăng khả năng sống sót và sinh sản của các cá thể.
C. Khi mật độ cá thể trong quần thể thấp, thì mối quan hệ trong quần thể chủ yếu là hỗ trợ.
D. Mối quan hệ cạnh tranh chỉ xuất hiện khi nguồn sống của môi trường bắt đầu khan hiếm.
Câu 8: Ở người, bệnh bạch tạng do gen lặn d nằm trên nhiễm sắc thể thường gây ra. Trong quần thể cân bằng di truyền người bạch tạng chiếm 0,04%. Cấu trúc di truyền của quần thể người nói trên sẽ là:
A. 0,9604DD + 0,0392Dd + 0,0004dd =1
B. 0,0392DD + 0,9604Dd + 0,0004dd =1
C. 0,0004DD + 0,0392Dd + 0,9604dd =1
D. 0,64DD + 0,32Dd + 0,04dd =1
Câu 9: Cơ sở tế bào học của định luật phân li độc lập của Menden là:
A. Mỗi tính trạng được quy định bởi 1 cặp alen tồn tại độc lập không hòa lẫn với nhau.
B. Sự phân li độc lập và tổ hợp tự do của các cặp NST tương đồng trong quá trình giảm phân tạo giao tử.
C. Sự phân li và tổ hợp của NST trong giảm phân và thụ tinh dẫn tới sự phân li và tổ hợp của các cặp alen.
D. Sự phân li độc lập và tổ hợp tự do của các cặp tính trạng qua quá trình sinh sản.
Câu 10: Điều không dùng để kết luận, quần thể là đơn vị tiến hóa cơ sở là:
A. quần thể biến đổi cấu trúc di truyền qua các thế hệ.
B. quần thể có tính toàn vẹn trong không gian và thời gian.
C. quần thể tồn tại thực trong tự nhiên.
D. quần thể chịu sự tác động của chon lọc tự nhiên.
Câu 11: Đơn vị nhỏ nhất trong cấu trúc nhiễm sắc thể gồm đủ 2 thành phần ADN và prôtêin histon là
A. sợi cơ bản. B. polixôm.
C. nuclêôxôm. D. nuclêôtit.
Câu 12: Cho biết không có đột biến xảy ra. Theo lí thuyết các cơ thể có kiểu gen nào sau đây khi giảm phân tạo ra loại giao tử không mang alen trội chiểm 50%
A. Aa và AAAa. B. aa và Aaaa.
C. Aa và AAaa. D. Aa và Aaaa.
Câu 13: Một quần thể người ở trạng thái cân bằng di truyền có tỷ lệ các nhóm máu: nhóm máu A = 0,4; nhóm máu B = 0,27; nhóm máu AB = 0,24; nhóm máu O = 0,09. Tần số tương đối của các alen IA, IB, I0 trong quần thể này là:
A. IA = 0.4 , IB = 0.3 , I0 = 0.3
B. IA = 0.6 , IB = 0.1 , I0 = 0.3
C. IA = 0.4 , IB = 0.2 , I0 = 0.4
D. IA = 0.2 , IB = 0.5 , I0 = 0.3
Câu 14: Khi nói về tác động qua lại giữa các gen thì kết luận nào sau đây là không chính xác?
A. Thực chất của tác động át chế gen là gen này đã át chế, kìm hãm sự hoạt động của gen khác.
B. Tính trạng do nhiều cặp gen quy định theo kiểu tác động cộng gộp thì ở F2 phân li làm nhiều lớp kiểu hình tùy theo số lượng alen trội, lặn có trong kiểu gen.
C. Một tính trạng do 2 cặp alen quy định phân li độc lập thì tỷ lệ phân li kiểu hình ở F2 là những biến dạng của tỷ lệ 9:3:3:1
D. Thực chất của tác động qua lại giữa các gen là tác động qua lại giữa các sản phẩm của chúng.
Câu 15: Lúa nước có bộ nhiễm sắc thể lưỡng bội 2n = 24. Tế bào sinh dưỡng của thể một nhiểm kép thuộc loài này có số nhiễm sắc thể là:
A. 23. B. 20. C. 12. D. 22.
Câu 16: Điều hòa hoạt động gen là:
A. sản phẩm của gen này điều khiển sản phẩm của gen khác.
B. gen này điều khiển sự hoạt động của gen khác.
C. sự hoạt động của các Operon.
D. gen có được phiên mã và dịch mã hay không.
Câu 17: Trong tế bào sinh dưỡng của cơ thể sinh vật alen tồn tại thành cặp là vì:
A. NST tồn tại thành cặp mà alen nằm trên NST.
B. mỗi bên bố, mẹ truyền cho con 1 alen.
C. mổi gen có 2 hay nhiều alen.
D. có 2 alen mới biểu hiện được tính trạng.
Câu 18: Dạng cách li quan trọng nhất để các quần thể tích lũy đột biến theo các hướng khác nhau dẫn đến hình thành loài mới là:
A. Cách li địa lí. B. Cách li sinh sản.
C. Cách li sinh thái. D. Cách li cơ học.
Câu 19: Ở người, bệnh phênin kêtô niệu do đột biến gen lặn nằm trên NST thường. Bố và mẹ bình thường sinh đứa con gái đầu lòng bị bệnh phênin kêtô niệu. Xác suất để họ sinh đứa con tiếp theo là trai không bị bệnh là:
A. 3/4. B. 3/8. C. 1/4. D. 1/2.
Câu 20: Biết mỗi gen quy định một tính trạng, tính trạng trội là trội hoàn toàn. Cho phép lai P: AaBbDd x AaBbdd thế hệ con thu được số loại kiểu gen, số tổ hợp giao tử và số loại kiểu hình lần lượt là:
A. 32, 32 và 8. B. 18, 32 và 4. C. 18, 32 và 8. D. 32, 18 và 8.
Câu 21: Trong lịch sử phát triển của sự sống trên Trái Đất, thực vật và động vật lên cạn vào:
A. kỉ Silua. B. kỉ Cacbon (Than đá).
C. kỉ Cambri. D. kỉ Đêvôn.
Câu 22: Những tập hợp cá thể nào sau đây là quần thể sinh vật?
A. Những cây cỏ sống trên sân vận động của nhà trường.
B. Những con tôm sống trong một khúc sông La.
C. Những cây bưởi Phúc Trạch trong một trang trại.
D. Những con Hổ sống trong vườn bách thú.
Câu 23: Công nghệ gen là quy trình tạo ra những:
A. Tế bào có NST bị biến đổi.
B. Cơ thể sinh vật có gen bị biến đổi.
C. Tế bào sinh vật có gen bị biến đổi.
D. Cơ thể có NST bị biến đổi.
Câu 24: Theo tiến hóa hiện đại, đơn vị cơ sở của tiến hóa là:
A. cá thể. B. quần thể.
C. loài. D. phân tử.
Câu 25: Cho các thành tựu sau:
(1) Tạo chủng vi khuẩn E. Coli sản xuất insulin của người.
(2) Tạo giống dưa hấu 3n không hạt, có hàm lượng đường cao.
(3) Tạo giống bông và giống đậu tương mang gen kháng thuốc diệt cỏ của thuốc lá cảnh Petunia.
(4) Tạo giống lúa "gạo vàng" có khả năng tổng hợp β-carôten (tiền vitamin A) trong hạt.
(5) Tạo giống cây trồng lưỡng bội có kiểu gen đồng hợp về tất cả các gen.
(6) Tạo giống cừu sản sinh prôtêin huyết thanh của người trong sữa.
(7) Tạo giống pomato từ khoai tây và cà chua.
Các thành tựu được tạo ra từ ứng dụng của công nghệ tế bào là:
A. (1), (3), (6). B. (5), (7)
C. (1), (2), (4), (6), (7). D. (3), (4), (5)
Câu 26: Biết mỗi gen quy định một tính trạng, alen trội là trội hoàn toàn, không có trao đổi chéo và đột biến. Theo lý thuyết có mấy phép lai sau đây cho đời con phân li kiểu hình theo tỷ lệ 1:1:1:1.

A. 3 B. 5 C. 2 D. 4
Câu 27: Đột biến gen thường gây hại cho cơ thể mang đột biến, điều này được giải thích chủ yếu do:
A. làm cho ADN không tái bản được dẫn đến không kế tục vật chất di truyền giữa các thế hệ.
B. làm ngừng trệ quá trình phiên mã, không tổng hợp được prôtêin.
C. cơ thể sinh vật không kiểm soát được quá trình tái bản, phiên mã và dịch mã của gen.
D. làm sai lệch thông tin di truyền dẫn đến cấu trúc và chức năng của prôtêin bị thay đổi.
Câu 28: Cho biết các công đoạn được tiến hành trong chọn giống như sau:
1. Chọn lọc các tổ hợp gen mong muốn.
2. Tạo dòng thuần chủng có kiểu gen khác nhau.
3. Lai các dòng thuần chủng với nhau.
4. Tạo dòng thuần chủng có kiểu gen mong muốn.
Việc tạo giống thuần dựa trên nguồn biến dị tổ hợp được thực hiện theo quy trình:
A. 1, 2, 3, 4 B. 2, 3, 1, 4 C. 2, 3, 4, 1 D. 4, 1, 2, 3
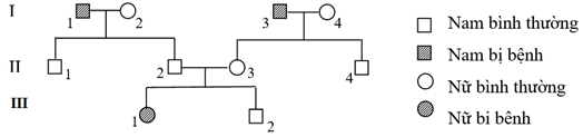
Câu 29: Khảo sát sự di truyền một bệnh (viết tắt là M) ở người qua 3 thế hệ như sau:

Một bạn học sinh đưa ra các nhận định sau:
(1) Bệnh trên do gen lặn nằm trên NST thường quy định di truyền theo quy luật phân li.
(2) Bệnh trên do gen lặn nằm trên NST X quy định vì biểu hiện ở nam nhiều hơn nữ.
(3) Xác suất để người III2 mang gen bệnh là 2/3 0,667
(4) Nếu III1 lấy chồng không mang gen bệnh thì con của họ 100% bình thường.
(5) Cặp vợ chồng II2 và II3 sinh tiếp đứa con thứ ba, xác suất con mắc bệnh là 1/2.
Số nhận định đúng là:
A. 1. B. 2. C. 3. D. 4
Câu 30: Ở một loài động vật, alen A quy định lông vằn trội hoàn toàn so với alen a quy định lông đen. Cho phép lai ♀XAXa x ♂XaY. Biết rằng không xảy ra đột biến, phân tích kết quả của F1, kết luận nào sau đây không đúng?
A. Tỉ lệ phân li kiểu hình ở F1 là: 1 lông vằn : 1 lông đen
B. Tỉ lệ phân li kiểu gen ở F1 là: 1 : 1 : 1 : 1.
C. Tỉ lệ phân li kiểu hình ở F1 là: 3 : 1
D. Tỉ lệ phân li kiểu hình ở F1 là: 1 cái lông vằn : 1 cái lông đen : 1 đực lông vằn : 1 đực lông đen.
Câu 31: Nếu kích thước của quần thể xuống dưới mức tối thiểu thì quần thể sẽ suy thoái và dễ bị diệt vong vì các nguyên nhân là:
(1) Xác suất gặp gở giữa con đực và con cái giảm => sức sinh sản giảm.
(2) Hỗ trợ giữa các cá thể trong quần thể bị giảm.
(3) Giao phối cận huyết => các tính trạng lặn có hại xuất hiện => sức sống giảm.
(4) Môi trường rộng số lượng cá thể ít nên khó thích nghi.
A. 1, 2, 3. B. 1, 3, 4 C. 2, 3, 4. D. 1, 2, 4.
Câu 32: Ở một loài thú, có một tính trạng do một cặp gen quy định biểu hiện ở cả 2 giới tính. Tính trạng đó có thể được di truyền theo những quy luật nào?
(1) Di truyền theo quy luật phân ly (gen tồn tai trên NST thường)
(2) Di truyền liên kết với NST giới tính X, gen tồn tại trên X ở vùng không tương đồng với Y.
(3) Di truyền liên kết với NST giới tính, gen tồn tại ở vùng tương đồng trên X và Y.
(4) Di truyền qua tế bào chất (gen tồn tại ở ti thể)
(5) Di truyền theo quy luật phân ly dộc lập.
Số đáp án đúng là:
A. 3 B. 5 C. 2 D. 4
Câu 33: Giả sử có một quần thể thực vật ở thế hệ xuất phát (P) có thành phần kiểu gen là: 0.6AABb : 0.4Aabb. Các cá thể trong quần thể tiến hành giao phối ngẫu nhiên. Nhận định đúng là:
A. thế hệ F1 có tần số kiểu gen là: 0.09 AABB : 0.30 AABb : 0.12 AaBb : 0.25 AAbb : 0.20 Aaabb : 0.04 aabb
B. Sau một thế hệ ngẫu phối quần thể sẽ đạt trạng thái cân bằng di truyền.
C. Quần thể sẽ không bao giờ đạt trạng thái cân bằng di truyền.
D. Tần số các loại giao tử của P là: 0.24AB : 0.56Ab : 0.06aB : 0.14ab
Câu 34: Khi nói về đột biến NST, kết luận không chính xác là:
A. Trong một số trường hợp, đột biến mất đoạn nhỏ có lợi cho sinh vật, vì đã giúp loại bỏ gen có hại trong quần thể.
B. Đột biến cấu trúc NST giúp xác định vị trí các gen trên NST, xây dựng bản đồ gen.
C. Trao đổi chéo không cân giữa hai cromatit khác nguồn trong cặp NST tương đồng làm xuất hiện đột biến lặp đoạn và mất đoạn.
D. Đột biến lệch bội NST làm xuất hiện loài mới một cách nhanh chóng.
Câu 35: Khi nói về quá trình nhân đôi ADN của sinh vật nhân sơ, số kết luận đúng dưới đây là:
(1) Quá trình nhân đôi có sự tham gia của enzim ARN polimeraza
(2) Quá trình nhân đôi bắt đầu đồng thời ở nhiều vị trí trên phân tử ADN.
(3) Quá trình nhân đôi tuân theo nguyên tắc bổ sung và bán bảo toàn.
(4) Nucleotit mới được tổng hợp liên kết vào đầu 3' OH của mạch mới.
(5) Enzim ADN polimeraza di chuyển trên mạch khuôn theo chiều 5' – 3'.
(6) Quá trình nhân đôi có sử dụng 8 loại nucleotit làm nguyên liệu.
A. 4 B. 3 C. 5 D. 2
Câu 36: Ở chim bồ câu. Một tế bào có kiểu gen AaXBD Xbd giảm phân bình thường tạo giao tử. Trong các kết quả sau, trường hợp không thể xảy ra là?
A. Tạo ra được 4 loại giao tử.
B. Chỉ cho một loại giao tử AXBD hoặc AXbd hoặc aXBD hoặc aXbd.
C. Tạo ra 2 loại giao tử với tỷ lệ như nhau.
D. Nếu sinh giao tử AXBd thì nó chiếm 25%
Câu 37: Khi nói về quá trình hình thành loài, có bao nhiêu phát biểu sau đây là đúng?
(1) Cách li địa lí có thể dẫn đến hình thành loài mới qua nhiều giai đoạn trung gian chuyển tiếp.
(2) Hình thành loài bằng cách li sinh thái thường gặp ở những loài thực vật và động vật ít di chuyển.
(3) Đột biến NST nhanh chóng hình thành loài mới mà không cần sự cách li địa lí.
(4) cách li địa lí là nguyên nhân chính làm phân hoá vốn gen của quần thể dẫn đến hình thành loài mới.
(5) Hình thành loài bằng đa bội hóa khác nguồn thường gặp ở thực vật, ít gặp ở động vật.
A. 2. B. 3 C. 4 D. 5
Câu 38: Trong trường hợp mỗi gen quy định một tính trạng, tính trạng trội là trội hoàn toàn. Cho P thuần chủng, khác nhau hai tính trạng. Số nhận định đúng về điểm khác biệt giữa quy luật phân li độc lập với hoán vị gen là:
(1) Tỉ lệ kiểu hình của F1
(2) Tỉ lệ kiểu hình và tỉ lệ kiểu gen của F2
(3) Tỉ lệ kiểu hình đối với mỗi tính trạng ở đời F2
(4) Sự xuất hiện các biến dị tổ hợp nhiều hay ít.
(5) Số loại kiểu gen ở F2.
(6) Tỉ lệ phân li kiểu gen và kiểu hình ở kết quả lai phân tích F1
A. 5 B. 2 C. 3 D. 4
Câu 39: Một cặp alen Aa dài 4080A0. Alen A có 3120 liên kết hiđrô, alen a có 3240 liên kết hiđrô. Do đột biến dị bội đã xuất hiện thể 2n + 1. Tại locus này có số nuclêôtit loại A = 1320 ; G = 2280. Kiểu gen của thể dị bội là:
A. aaa B. AAa C. Aaa D. AAA
Câu 40: Trên quần đảo Mađơrơ, ở một loài côn trùng cánh cứng, gen A quy định cánh dài trội không hoàn toàn so với gen a quy định không cánh, kiểu gen Aa quy định cánh ngắn. Một quần thể của loài này lúc mới sinh có thành phần kiểu gen là 0,25AA: 0,6Aa: 0,15aa, khi vừa mới trưởng thành các cá thể có cánh dài không chịu nổi gió mạnh bị cuốn ra biển. Tính theo lí thuyết thành phần kiểu gen của quần thể mới sinh ở thế hệ kế tiếp là:
A. 0,2AA: 0,4Aa: 0,4aa
B. 0,3025AA: 0,495Aa: 0,2025aa
C. 0,16AA: 0,48Aa: 0,36aa
D. 0,64AA: 0,32Aa: 0,04aa
Đáp án đề thi thử THPT Quốc gia năm 2017 môn Sinh học
|
1, B 2, A 3, C 4, D 5, C 6, C 7, D 8, A 9, B 10, D |
11, C 12, D 13, A 14, A 15, D 16, D 17, A 18, B 19, B 20, C |
21, A 22, C 23, B 24, B 25, B 26, A 27, D 28, B 29, C 30, C |
31, A 32, D 33, A 34, D 35, A 36, B 37, C 38, D 39, B 40, C |