Giao diện mới của VnDoc Pro: Dễ sử dụng hơn - chỉ tập trung vào lớp bạn quan tâm. Vui lòng chọn lớp mà bạn quan tâm: Lưu và trải nghiệm
Đóng
Điểm danh hàng ngày
  • Hôm nay +3
  • Ngày 2 +3
  • Ngày 3 +3
  • Ngày 4 +3
  • Ngày 5 +3
  • Ngày 6 +3
  • Ngày 7 +5
Bạn đã điểm danh Hôm nay và nhận 3 điểm!
Nhắn tin Zalo VNDOC để nhận tư vấn mua gói Thành viên hoặc tải tài liệu Hotline hỗ trợ: 0936 120 169

Đề thi Tin học trẻ tỉnh An Giang năm 2013

Loại File: ZIP
Phân loại: Tài liệu Tính phí

HỘI THI TIN HỌC TRẺ
TỈNH AN GIANG

ĐỀ THI LÝ THUYẾT
BẢNG A - KHỐI TIỂU HỌC

Khóa ngày: 26-01-2013
Thời gian: 20 phút (không kể thời gian phát đề)

ĐỀ A:

Các câu hỏi dưới đây để trắc nghiệm kiến thức cơ bản về Tin học, về hệ điều hành MS-DOS, hệ điều hành Windows, về bảo vệ dữ liệu phòng chống virus. Đề thi gồm 10 câu hỏi, mỗi câu hỏi 1.00 điểm và có 4 mục trả lời A, B, C, D; thí sinh chọn mục trả lời đúng nhất.

Câu 1: Các hệ điều hành thông dụng hiện nay khi cài đặt thường được lưu trữ tại:
A. CPU B. ROM C. Bộ nhớ ngoài D. RAM

Câu 2: Hãy chọn phương án đúng để sắp xếp từ cao đến thấp về dung lượng lưu trữ của các thiết bị lưu dữ liệu dưới đây:
A. Đĩa DVD - đĩa cứng - đĩa CD - đĩa mềm.
B. Đĩa cứng - đĩa DVD - đĩa CD - đĩa mềm.
C. Đĩa cứng - đĩa mềm - đĩa CD - đĩa DVD.
D. Đĩa cứng - đĩa mềm - đĩa DVD - đĩa CD.

Câu 3: Thiết bị nào trong các thiết bị sau dùng để kết nối Internet?
A. Monitor B. Printer C. USB driver D. Modem

Câu 4: Nhóm các thiết bị nào dưới đây dùng để đưa dữ liệu vào?
A. Bàn phím, con chuột, máy in.
B. Màn hình, loa, băng từ.
C. Bàn phím, con chuột, máy quét.
D. Màn hình, đĩa từ, loa.

Câu 5: Thiết bị nào dưới đây giúp em lưu tấm ảnh đã có vào bộ nhớ của máy tính:
A. Màn hình B. Máy ảnh số C. Máy quét D. Máy in

Câu 6: Trong môi trường Windows ta có thể chạy cùng lúc:
A. Nhiều chương trình ứng dụng khác nhau
B. Một chương trình
C. Hai chương trình
D. Tất cả các câu đều sai

Câu 7: Trong Hệ điều hành Windows, khi xoá file và không muốn đưa vào thùng rác Recycle Bin thì phải thực hiện thao tác:
A. Giữ phím Ctrl trong khi xóa.
B. Giữ phím Shift trong khi xóa.
C. Giữ phím Alt trong khi xóa.
D. Không thể thực hiện được vì file bị xoá luôn đưa vào Recycle Bin.

Câu 8: Để truy cập vào một Website ta phải biết:
A. Website đó được đặt ở đâu
B. IP của máy chủ chứa Website đó
C. Tên miền của Website đó
D. Tất cả đều đúng

Câu 9: Để phòng chống Virus cách tốt nhất là:
A. Thường xuyên kiểm tra đĩa, đặc biệt thận trọng khi sao chép dữ liệu từ nơi khác mang tới
B. Sử dụng các chương trình quét virus có bản quyền và cập nhật thường xuyên
C. Không nên mở các mail có tệp lạ đính kèm
D. Tất cả đáp án trên đều đúng

Câu 10: Khi soạn thảo một văn bản bằng MS Word, thao tác Shift + Enter có chức năng :
A. Xuống hàng nhưng chưa kết thúc đoạn
B. Xuống 1 trang màn hình
C. Xuống dòng, ngắt trang
D. Xuống dòng

-----------------------------------------

HỘI THI TIN HỌC TRẺ
TỈNH AN GIANG

ĐỀ THI LÝ THUYẾT
BẢNG A - KHỐI TRUNG HỌC CƠ SỞ

Khóa ngày: 26-01-2013
Thời gian: 20 phút (không kể thời gian phát đề)

Các câu hỏi dưới đây để trắc nghiệm kiến thức cơ bản về Tin học, về hệ điều hành MS-DOS, hệ điều hành Windows, về Internet, về ngôn ngữ lập trình Pascal. Đề thi có 20 câu hỏi, mỗi câu hỏi 0.50 điểm; gồm 4 mục trả lời A, B, C, D; thí sinh chọn mục trả lời đúng nhất.

Câu 1: Con người sử dụng máy vi tính để:
A. Xử lý thông tin B. Tiếp nhận thông tin
C. Trao đổi thông tin D. Câu A, B, C đều đúng

Câu 2: Máy tính muốn xử lý được thông tin, thì thông tin phải được mã hóa thành hệ đếm:
A. Hệ nhị phân B. Hệ thập phân
C. Hệ thập lục phân D. Hệ nhất nguyên

Câu 3: Số ký tự chuẩn của bộ mã ASCII là?
A. 128 B. 256 C. 255 D. 512

Câu 4: Bộ nhớ RAM dùng để?
A. Điều khiển các hoạt động của máy tính
B. Lưu trữ các chương trình để khởi động máy
C. Lưu trữ tạm thời các dữ liệu và chương trình của nhà sản xuất
D. Lưu trữ, xử lý các dữ liệu và chương trình của người sử dụng

Câu 5: Cấu tạo của một hệ thống máy tính gồm ?
A. Phần cứng và phần mềm
B. CPU, bàn phím, màn hình, máy in, con chuột
C. CPU, đĩa từ, bộ nhớ
D. CPU, màn hình, máy in

Câu 6: Các phần mềm nào sau đây đều là phần mềm hệ thống ?
A. Microsoft WinWord, MySQL
B. FireFox, Internet Explorer
C. Microsoft Windows, MS-DOS
D. Microsoft Windows, Microsoft Access

Câu 7: Để chọn các đối tượng liên tiếp nhau trong cùng một cửa sổ, ta thực hiện:
A. Chọn đối tượng đầu, giữ phím Alt, dùng các phím mũi tên để di chuyển đến đối tượng cuối
B. Click trên đối tượng đầu, giữ phím Alt, click trên đối tượng cuối
C. Click trên đối tượng đầu, giữ phím Ctrl, click trên đối tượng cuối
D. Click trên đối tượng đầu, giữ phím Shift, click trên đối tượng cuối

Câu 8: Để chuyển đổi qua lại giữa các cửa sổ đang mở trong Windows, ta nhấn tổ hợp phím :
A. Ctrl – Tab B. Alt – Tab C. Ctrl – Shift D. Shift – Tab

Câu 9: Trong Hệ điều hành Windows tiện ích dùng để khai thác tài nguyên trong máy tính như: Ổ đĩa, Thư mục (Folder), Tập tin (File) là:
A. Control Panel B. Internet Explorer
C. Windows Explorer D. Câu A, B, C đều đúng

Câu 10: Trong hệ điều hành Windows, biểu tượng nào có tên dưới đây chứa các Thư mục hay tập tin vừa bị xóa (Chưa xóa hẳn):
A. My Network Places B. Recycle Bin
C. My Documents D. My Computer

Câu 11: Khi kết nối các máy tính thành mạng cục bộ (LAN), thiết bị nào có thể chia sẻ dùng chung?
A. Máy in B. Đĩa cứng C. Webcam D. Câu A, B, C đúng

Câu 12: Để xem nội dung các trang Web ta dùng công cụ nào sau đây?
A. Web page B. Web Browser C. Webcam D. Web site

Câu 13: Các máy tính kết nối mạng với nhau nhằm mục tiêu :
A. Tăng tính bảo mật của thông tin trong máy
B. Hạn chế lây lan Virus
C. Giảm khả năng chia sẻ dữ liệu
D. Câu A, B, C đều sai

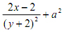
Câu 14: Biểu thức toán học Đề thi Tin học trẻ tỉnh An Giang năm 2013chuyển sang biểu thức trong Pascal là:
Đề thi Tin học trẻ tỉnh An Giang năm 2013

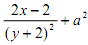
Câu 15: Biểu thức toán học Đề thi Tin học trẻ tỉnh An Giang năm 2013 chuyển sang biểu thức trong Pascal là:
Đề thi Tin học trẻ tỉnh An Giang năm 2013

Câu 16: Trong môi trường Pascal, cho biết kết quả của đoạn chương trình:
A:= 20;
WHILE A <= 25 DO
A:= A + 2;
Writeln(A);
Giá trị của A sau khi thực hiện xong vòng lặp là:
A. 26 B. 25 C. 24 D. 27

Câu 17: Trong môi trường Pascal, cho biết kết quả của đoạn chương trình:
a:= 100;
For i:= 100 to 101 do
a:= a div 2;
write(a);
A. 50 B. 25 C. 100 D. Thông báo lỗi

Câu 18: Trong môi trường Pascal, để biến s lưu được một xâu ký tự, ta khai báo biến s thuộc kiểu dữ liệu:
A. Byte B. Char C. String D. Real

Câu 19: Trong môi trường Pascal, giả sử thực hiện một số lệnh sau:
For S:= 1 to 5 do
S:= S * 2;
Write(S);
Kết quả của S là:
A. 96 B. Thông báo lỗi C. 48 D. 24

Câu 20: Trong môi trường Pascal, giả sử thực hiện một số lệnh sau:
a:= 5;
Repeat
Writeln(‘A’);
Until a = 0;
Số lần ký tự A được in ra là :
A. 1 B. 6 C. 0 D. Vô hạn

Chọn file muốn tải về:
Đóng Chỉ thành viên VnDoc PRO/PROPLUS tải được nội dung này!
Đóng
79.000 / tháng
Đặc quyền các gói Thành viên
PRO
Phổ biến nhất
PRO+
Tải tài liệu Cao cấp 1 Lớp
30 lượt tải tài liệu
Xem nội dung bài viết
Trải nghiệm Không quảng cáo
Làm bài trắc nghiệm không giới hạn
Mua cả năm Tiết kiệm tới 48%
102
Xác thực tài khoản!

Theo Nghị định 147/2024/ND-CP, bạn cần xác thực tài khoản trước khi sử dụng tính năng này. Chúng tôi sẽ gửi mã xác thực qua SMS hoặc Zalo tới số điện thoại mà bạn nhập dưới đây:

Số điện thoại chưa đúng định dạng!
Số điện thoại này đã được xác thực!
Bạn có thể dùng Sđt này đăng nhập tại đây!
Lỗi gửi SMS, liên hệ Admin
Sắp xếp theo
🖼️

Thư viện Học liệu

Xem thêm
🖼️

Gợi ý cho bạn

Xem thêm