Giao diện mới của VnDoc Pro: Dễ sử dụng hơn - chỉ tập trung vào lớp bạn quan tâm. Vui lòng chọn lớp mà bạn quan tâm: Lưu và trải nghiệm
Đóng
Điểm danh hàng ngày
  • Hôm nay +3
  • Ngày 2 +3
  • Ngày 3 +3
  • Ngày 4 +3
  • Ngày 5 +3
  • Ngày 6 +3
  • Ngày 7 +5
Bạn đã điểm danh Hôm nay và nhận 3 điểm!
Nhắn tin Zalo VNDOC để nhận tư vấn mua gói Thành viên hoặc tải tài liệu Hotline hỗ trợ: 0936 120 169

Đề thi thử THPT Quốc gia năm 2016 môn Toán trường THPT Hồng Quang, Hải Dương (Lần 3)

Loại File: Word + PDF
Phân loại: Tài liệu Tính phí

Đề thi thử THPT Quốc gia năm 2016 môn Toán

Đề thi thử THPT Quốc gia năm 2016 môn Toán trường THPT Hồng Quang, Hải Dương (Lần 3) là đề thi thử đại học môn Toán có đáp án đi kèm được VnDoc.com sưu tầm và đăng tải. Đây là tài liệu ôn thi THPT Quốc gia, luyện thi Đại học, Cao đẳng môn Toán hữu ích dành cho các bạn thí sinh chuẩn bị bước vào kì thi quan trọng này.

Đề thi thử THPT Quốc gia năm 2016 môn Toán trường THPT Hồng Quang, Hải Dương (Lần 1)

Đề thi thử THPT Quốc gia năm 2016 môn Toán trường THPT Hồng Quang, Hải Dương (Lần 2)

Đề thi thử THPT Quốc gia năm 2016 môn Toán trường THPT Hồng Quang, Hải Dương (Lần 4)

SỞ GD & ĐT HẢI DƯƠNG

TRƯỜNG THPT HỒNG QUANG

ĐỀ THI THỬ LẦN 3 KÌ THI THPT QUỐC GIA NĂM 2016

MÔN: TOÁN

(Thời gian làm bài: 180 phút, không kể thời gian phát đề).

Câu 1 (2,0 điểm)

a) Khảo sát sự biến thiên và vẽ đồ thị (C) của hàm số y = x4 - 2x2 - 3.

b) Tìm giá trị lớn nhất, giá trị nhỏ nhất của hàm số Đề thi thử THPT Quốc gia năm 2016 môn Toán trường THPT Hồng Quang, Hải Dương (Lần 3) với x ∈ [2; 4].

Câu 2 (1,0 điểm)

a) Trong mặt phẳng tọa độ Oxy tìm tập hợp điểm biểu diễn các số phức z thỏa mãn |z + 2 - i| = |1 + 3i|.

b) Giải bất phương trình Đề thi thử THPT Quốc gia năm 2016 môn Toán trường THPT Hồng Quang, Hải Dương (Lần 3).

Câu 3 (1,0 điểm) Tính tích phân Đề thi thử THPT Quốc gia năm 2016 môn Toán trường THPT Hồng Quang, Hải Dương (Lần 3).

Câu 4 (1,0 điểm) Trong không gian với hệ tọa độ Oxyz. Viết phương trình mặt cầu (S) có tâm I(5; -3; 4) và tiếp xúc với mặt phẳng (P): 2x - y + z - 5 = 0. Tìm tọa độ tiếp điểm của (S) và (P).

Câu 5 (1,0 điểm)

a) Giải phương trình Đề thi thử THPT Quốc gia năm 2016 môn Toán trường THPT Hồng Quang, Hải Dương (Lần 3).

b) Có hai hộp chứa các viên bi. Hộp thứ nhất chứa 8 viên bi màu trắng và 7 viên bi màu đỏ, hộp thứ hai chứa 5 viên bi màu trắng và 6 viên bi màu đỏ. Từ mỗi hộp lấy ngẫu nhiên một viên bi. Tính xác xuất sao cho hai viên bi lấy ra cùng màu.

Câu 6 (1,0 điểm). Cho lăng trụ tam giác ABC.A'B'C' có đáy là tam giác vuông tại A, AB = a, AC = a√3. Hình chiếu vuông góc của A' trên mặt phẳng (ABC) trùng với trung điểm H của cạnh BC. Góc giữa cạnh bên và mặt đáy bằng 45o. Tính theo a thể tích khối lăng trụ ABC.A'B'C' và khoảng cách giữa hai đường thẳng AA', CB'.

Câu 7 (1,0 điểm). Trong mặt phẳng tọa độ Oxy, cho hình thang vuông ABCD, vuông tại A và B, có đỉnh C(0; 2) và AD = 3BC. Gọi H là hình chiếu vuông góc của A trên đường chéo BD. Điểm Đề thi thử THPT Quốc gia năm 2016 môn Toán trường THPT Hồng Quang, Hải Dương (Lần 3) là điểm thuộc đoạn HD sao cho 2HM = MD. Tìm tọa độ các đỉnh A, B, D của hình thang vuông ABCD biết đỉnh A thuộc đường thẳng (d): x - y - 1 = 0.

Câu 8 (1,0 điểm). Giải hệ phương trình: Đề thi thử THPT Quốc gia năm 2016 môn Toán trường THPT Hồng Quang, Hải Dương (Lần 3).

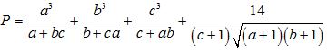
Câu 9 (1,0 điểm). Cho các số dương a, b, c thỏa mãn a + b + 1 = c. Tìm giá trị nhỏ nhất của biểu thức

Đề thi thử THPT Quốc gia năm 2016 môn Toán trường THPT Hồng Quang, Hải Dương (Lần 3)

Đáp án đề thi thử THPT Quốc gia năm 2016 môn Toán

Đáp án đề thi thử THPT Quốc gia năm 2016 môn Toán trường THPT Hồng Quang, Hải Dương (Lần 3)

Đáp án đề thi thử THPT Quốc gia năm 2016 môn Toán trường THPT Hồng Quang, Hải Dương (Lần 3)

Đáp án đề thi thử THPT Quốc gia năm 2016 môn Toán trường THPT Hồng Quang, Hải Dương (Lần 3)

Đáp án đề thi thử THPT Quốc gia năm 2016 môn Toán trường THPT Hồng Quang, Hải Dương (Lần 3)

Đáp án đề thi thử THPT Quốc gia năm 2016 môn Toán trường THPT Hồng Quang, Hải Dương (Lần 3)

Đáp án đề thi thử THPT Quốc gia năm 2016 môn Toán trường THPT Hồng Quang, Hải Dương (Lần 3)

Chọn file muốn tải về:
Đóng Chỉ thành viên VnDoc PRO/PROPLUS tải được nội dung này!
Đóng
79.000 / tháng
Đặc quyền các gói Thành viên
PRO
Phổ biến nhất
PRO+
Tải tài liệu Cao cấp 1 Lớp
30 lượt tải tài liệu
Xem nội dung bài viết
Trải nghiệm Không quảng cáo
Làm bài trắc nghiệm không giới hạn
Mua cả năm Tiết kiệm tới 48%
Xác thực tài khoản!

Theo Nghị định 147/2024/ND-CP, bạn cần xác thực tài khoản trước khi sử dụng tính năng này. Chúng tôi sẽ gửi mã xác thực qua SMS hoặc Zalo tới số điện thoại mà bạn nhập dưới đây:

Số điện thoại chưa đúng định dạng!
Số điện thoại này đã được xác thực!
Bạn có thể dùng Sđt này đăng nhập tại đây!
Lỗi gửi SMS, liên hệ Admin
Sắp xếp theo
🖼️

Thi THPT Quốc gia môn Toán

Xem thêm
🖼️

Gợi ý cho bạn

Xem thêm