Đề thi thử THPT Quốc gia năm 2021 môn Hóa Trường THPT Nguyễn Khuyến Tp HCM
Đề thi thử tốt nghiệp năm 2021 môn Hóa
Đề thi thử THPT Quốc gia năm 2021 môn Hóa Trường THPT Nguyễn Khuyễn Tp HCM được VnDoc tổng hợp biên soạn hướng dẫn chi tiết đề thi thử tốt nghiệp năm 2021 môn Hóa. Hy vọng giúp các bạn học sinh có thêm tài liệu luyện tập cũng như rèn luyện kĩ năng giải đề thi.
Mời các bạn tham khảo một số đề thi thử THPT Quốc gia 2021 môn Hóa trên cả nước:
- Đề thi thử THPT Quốc gia năm 2021 môn Hóa Trường THPT Chuyên Đại học Vinh
- Đề thi thử THPT Quốc gia năm 2021 môn Hóa Trường THPT Mai Thúc Loan, Hà Tĩnh
- Bộ đề thi thử THPT quốc gia năm 2020 môn Hóa Hay Chọn Lọc Có đáp án
|
BỘ GD VÀ ĐT THÀNH PHỐ HỒ CHÍ MINH TRƯỜNG THPT NGUYỄN KHUYẾN (Đề thi có 04 trang) |
KỲ THI THỬ TỐT NGHIỆP THPT NĂM 2021 (Thời gian làm bài 50 phút, không kể thời gian phát đề) |
Họ, tên thí sinh: ...........................................................................
Số báo danh: ...............................................................................
Cho biết nguyên tử khối của các nguyên tố: H = 1; C = 12; N = 14; O = 16; Na = 23; Mg = 24; Al = 27; S=32; Cl = 35,5; K = 39, Fe = 56; Cu = 64; Ag = 108.
Các khí đều đo ở đktc
Câu 1: Cặp chất nào sau đây không phải là đồng phân của nhau?
A. Glucozơ và fructozơ
B. Xenlulozơ và tinh bột
C. Metyl axetat và etyl fomat
D. Axit axetic và metyl fomat
Câu 2: Đốt cháy hoàn toàn m gam trimetyl amin cần vừa đủ 3,528 lít O2. Giá trị của m là
A. 2,17
B. 1,77
C. 1,70
D. 1,89
Câu 3: Tổng số nguyên tử trong phân tử sắt (III) hidroxit là
A. 6
B. 4
C. 5
D. 7
Câu 4: Cho 18,19 gam hỗn hợp gồm HCOOCH3 và H2NCH2COOCH3 tác dụng vừa đủ với 125ml dung dịch NaOH 2M, thu được dung dịch chứa m gam muối. Giá trị của m là
A. 16,69
B. 22,15
C. 20,19
D. 21,95
Câu 5: Hợp chất nào sau đây thuộc loại α-aminoaxit?
A. H2NCH2COOC2H5
B. H2NCH(CH3)COOH
C. CH3COOH3NCH3
D. H2NCH2CH2COOH
Câu 6: Cho este no, mạch hở, có công thức CnHmO4. Quan hệ giữa n với m là
A. m = 2n
B. m = 2n - 4
C. m = 2n - 2
D. m = 2n + 1
Câu 7: Thực hiện phản ứng nhiệt nhôm hoàn toàn đối với hỗn hợp gồm bột Al và bột Fe2O3 (vừa đủ) thấy có 5,6 gam Fe tạo thành. Khối lượng bột Al cần dùng là
A. 2,70 gam
B. 4,05 gam
C. 1,35 gam
D. 5,40 gam
Câu 8: Tơ nào sau đây thuộc loại tơ bán tổng hợp?
A. Tơ visco
B. Tơ tằm
C. Tơ nilon-6
D. Tơ olon
Câu 9: Kim loại kiềm có nhiệt độ nóng chảy thấp nhất là
A. Hg
B. Na
C. Li
D. Cs
Câu 10: Trong mật ong có chứa một saccarit X. Biết X làm mất màu dung dịch Br2. Vậy X là
A. Tinh bột
B. Glucozơ
C. Fructozơ
D. Saccarozơ
Câu 11: Dung dịch nào sau đây lấy dư có thể oxi hóa Fe thành Fe3+?
A. Dung dịch AgNO3
B. Dung dịch FeCl3
C. Dung dịch HCl đặc
D. Dung dịch H2SO4
Câu 12: Nhúng thanh Zn nguyên chất vào dung dịch nào sau đây thì thanh Zn bị ăn mòn điện hóa?
A. Dung dịch H2SO4 đặc nóng
B. Dung dịch HCl
C. Dung dịch NaCl
D. Dung dịch CuSO4
Câu 13: Nước cứng vĩnh cửu chủ yếu chứa các ion nào sau đây?
A. Ca2+, Mg2+, HCO3-
B. Ca2+, Mg2+, Cl-, SO42-
C. Ca2+, Mg2+, HCO3-, SO42-
D. Na+, K+, Cl-, SO42-
Câu 14: Trong phân tử peptit có chứa liên kết peptit. Vậy liên kết peptit là nhóm nguyên tử nào sau đây?
A. –COOH3N-
B. –COONH2-
C. –CH2COOH
D. –CONH-
Câu 15: Dung dịch nào sau đây không hòa tan được Al2O3?
A. Dung dịch HNO3
B. Dung dịch NaOH
C. Dung dịch AgNO3
D. Dung dịch HCl
Câu 16: Quặng nào sau đây có chứa nguyên tố nhôm?
A. Quặng boxit
B. Quặng manhetit
C. Quặng xiđerit
D. Quặng đolomit
Câu 17: Tính chất vật lí của kim loại không do các electron tự do quyết định là
A. Tính dẫn điện
B. Tính dẻo
C. Tính dẫn nhiệt
D. Tính cứng
Câu 18: Polime có công thức [-O-(CH2)2-OOC-C6H4-CO-]n có tên là
A. poli(metyl metacrylat)
B. poli(hexametylen adipamit)
C. poli(etylen terephtalat)
D. policaproamit
Câu 19: Hòa tan chất X vào nước thì tạo dung dịch màu da cam. Chất X là
A. CuSO4
B. AlCl3
C. K2CrO4
D. K2Cr2O7
Câu 20: Dung dịch nào sau đây có pH nhỏ nhất?
A. NaHSO4
B. Na2CO3
C. KOH
D. BaCl2
Câu 21: Đun nóng 13,68 gam hỗn hợp X gồm saccarozơ và glucozơ (với khối lượng bằng nhau) với dung dịch AgNO3/NH3 (dư, to), thu được m gam Ag. Các phản ứng xảy ra hoàn toàn. Giá trị của m là
A. 16,848
B. 5,661
C. 8,208
D. 12,528
Câu 22: Cho a gam dung dịch chứa muối X vào a gam dung dịch chứa NaOH, kết thúc phản ứng thu được 2a gam dung dịch Z. Chất X có thể là
A. Ca(HCO3)2
B. H2SO4
C. FeCl3
D. NaHCO3
Câu 23: Cho dãy chất: Cr2O3, Na2Cr2O7, CrO3, Cr, CrCl2. Ở nhiệt độ thường, số chất tác dụng được với dung dịch NaOH loãng là
A. 3
B. 4
C. 1
D. 2
Câu 24: Cho 0,1 mol axit glutamic vào 200ml dung dịch HCl 1M thu được dung dịch X. Dung dịch X phản ứng vừa đủ với dung dịch chứa a mol KOH. Giá trị của a là
A. 0,4
B. 0,5
C. 0,6
D. 0,3
Câu 25: Trường hợp nào sau đây không thu được kết tủa
A. Đun nóng dung dịch chứa BaCl2 và NaHCO3
B. Cho dung dịch Ca(OH)2 vào nước cứng vĩnh cửu
C. Dẫn khí H2S vào dung dịch FeCl2
D. Dẫn khí CO2 đến dư vào dung dịch Ba(AlO2)2
Câu 26: Cho 7,1 gam P2O5 vào V ml dung dịch NaOH 1M, phản ứng xong cô cạn dung dịch thu được 13,65 gam chất rắn. Giá trị của V là
A. 175,0
B. 300,0
C. 226,10
D. 231,25
Câu 27: Nhận định nào sau đây đúng khi nói về este và protein?
A. Este và protein đều tham gia phản ứng thủy phân
B. Este và protein có cùng thành phần nguyên tố
C. Este và protein là những polime thiên nhiên
D. Este và protein đều không tan trong nước
Câu 28: Nước muối sinh lý hay còn gọi là nước muối đằng trương, là dung dịch với thành phần chính là natri clorua có nồng đồ 0,9%. Nước muối sinh lý có nghĩa là dung dịch nước muối được bào chế có nồng độ tương đương với những dung dịch khác có trong cơ thể người như nước mắt, máu,... ở điều kiện chức năng sinh lý bình thường. Từ nội dung trên chọn nhận định đúng?
A. Natri clorua có nồng độ 0,9% có ý nghĩa là 9ml NaCl trong 1ml dung dịch nước tinh khiết
B. Công thức natri clorua là NaClO
C. Natri clorua có nồng độ 0,9% có ý nghĩa là 0,09 mol NaCl trong 1 lít dung dịch nước tinh
khiết
D. Natri clorua có nồng độ 0,9% có ý nghĩa là 9g NaCl trong 1 lít dung dịch nước tinh khiết
Câu 29: Cho hơi nước đi qua than nung đỏ, thu được 0,5 mol hỗn hợp X gồm CO, CO2 và H2. Dẫn toàn bộ X qua lượng dư hỗn hợp rắn Y gồm Fe2O3 và CuO nung nóng, kết thúc phản ứng rắn Y giảm 6,4 gam. Tỉ khối X so với He là
A. 4,75
B. 3,90
C. 7,80
D. 9,50
Câu 30: Có 4 loại thực phẩm sau: Loại thực phẩm chứa nhiều protein nhất là
A. Mật ong
B. Rau diếp xoăn
C. Phô mai
D. Bánh mì
Câu 31: Tiến hành 2 thí nghiệm hấp thụ khí CO2 vào dung dịch chứa 14x mol KOH và 6x mol
Ca(OH)2. Kết quả thí nghiệm được mô tả theo bảng sau:
| Thực hiện thí nghiệm | Thí nghiệm 1 | Thí nghiệm 2 |
| Thể tích CO2 (lít) bị hấp thụ | 4,032 | 4,928 |
| Khối lượng (g) chất tan trong dung dịch thu được | m | m + 4,48 |
Tổng khối lượng kết tủa thu được từ hai thí ngiệm là
A. 6 gam.
B. 10 gam.
C. 8 gam.
D. 12 gam.
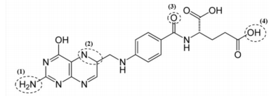
Câu 32: Axit folic (hay Vitamin B9) cần thiết cho dinh dưỡng hằng ngày của cơ thể người. Axit folic có vai trò sinh học trong việc tạo ra tế bào mới và duy trì chúng. Chính vì có tác dụng giúp tái tạo tế bào như vậy mà axit folic có thể được sử dụng để phục hồi sinh lực cho các cơ quan nội tạng sau mỗi sự cố thiếu máu hay tổn thương nội mạng tế bào. Biết axit folic có công thức phân tử C19H19N7O6. Trong công thức cấu tạo cho dưới đây, chỉ một trong các vị trí được đánh dấu ( khoanh bằng đường nét đứt) đã được làm sai:

Vị trí đã được làm sai là
A. (3).
B. (2).
C. (4).
D. (1).
Câu 33: Cho 18,075 gam hỗn hợp E gồm Al, Al2O3, Al(OH)3, Al(NO3)3 tác dụng vừa đủ với dung dịch chứa 0,87 mol HCl, sau phản ứng thu được dung dịch X chỉ chứa muối clorua và 2,352 lít NO. Cô cạn hết dung dịch X thu được 38,85 gam muối khan. Phần trăm khối lượng Al2O3 trong hỗn hợp E là
A. 56,432%
B. 28,216%.
C. 22,573%.
D. 21,375%.
Câu 34: Cho sơ đồ phản ứng sau:
(1) X + NaOH → X1 + X2
(2) Y + NaOH → Y1 + Y2 + Y3
(3) X2 + CO → Y
(4) Y2 + O2 → Z
Biết X và Y ( Mx < MY < 170) là hai chất hữu cơ mạch hở và chỉ chứa một loại nhóm chức. Đốt
cháy hoàn toàn X1 cũng như Y1 thì sản phẩm cháy thu được chỉ có Na2CO3 và CO2; Cho các nhận định sau:
(a) Dùng Y2 để làm nước rửa tay phòng ngừa dịch Covid-19
(b) X và Y là những hợp chất hữu cơ không no
(c) Y3 và Z có cùng số nguyên tử cacbon
(d) Nung X1 với vôi tôi xút thu được hidrocacbon
(e) X2 và Y2 thuộc cùng dãy đồng đẳng
Số nhận định đúng là
A. 2.
B. 1.
C. 4.
D. 3.
Câu 35: Cho các phát biểu sau:
(1) Crom là kim loại có tính khử mạnh hơn sắt
(2) Quặng boxit và quặng hematit đều tan trong dung dịch kiềm loãng
(3) Trong môi trường bazơ ion Cr3+ bị chất oxi hóa mạnh (Br2, Cl2,...) oxi hóa thành ion
(4) Trong nhóm IA, độ cứng giảm dần theo chiều K > Na > Cs
(5) Natri cacbonat (Na2CO3) là chất rắn màu trắng, tan nhiều trong nước
(6) Tính chất hóa học đặc trưng của hợp chất sắt(III) là tính khử
Số phát biểu không đúng là
A. 2
B. 1
C. 4
D. 3
Câu 36: Cho các phát biểu sau:
(a) Anilin và metyl amin đều là amin bậc 1
(b) Chất béo, sorbitol, axit glutamic đều là những hợp chất hữu cơ đa chức
(c) Polime là hợp chất có phân từ khối lớn do nhiều mắt xích liên kết với nhau tạo nên
(d) Trùng hợp isoprene thu được cao su buna
(e) Metyl aminoaxetat và axit 3-aminobutanoic là đồng phân của nhau
(g) Glucozơ và saccarozơ là những chất rắn kết tinh, không màu
Số phát biểu đúng là
A. 5
B. 4
C. 2
D. 3
Câu 37: Hỗn hợp e gồm axit panmitic, triglixerit X và ancol no, đơn chức, mạch hở Y (biết X, Y có tỉ lệ mol tương ứng 5:3). Cho m gam E tác dụng vừa đủ với 160 ml dung dịch NaOH 1M, cô cạn dung dịch sau phản ứng thu được hỗn hợp ancol (biết tổng phần trăm cacbon trong hai ancol bằng 49,7238%) và m-1,02 gam hỗn hợp muối. Nếu cháy hết m gam E cần vừa đủ 4,355 mol O2, thu được 134,64 gam CO2. Khối lượng X trong E là:
A. 45,16 gam
B. 40,30 gam
C. 42,52 gam
D. 43,00 gam
Câu 38. Tiến hành điện phân m gam dung dịch chứa CuSO4 9,6% và KCl 2,98% (điện cực trơ, màng ngăn xốp), sau một thời gian thu được dung dịch X và 1,568 lít hỗn hợp khí Y. Cho 3,6 gam Mg vào dung dịch X đến khi các phản ứng xảy ra hoàn toàn, thu được 2,96 gam hỗn hợp kim loại và 190,32 gam dung dịch Z. Nồng độ phần trăm của chất tan có phân tử khối nhỏ hơn trong X có giá trị là
A. 3,098%
B. 1,686%
C. 2,940%
D. 2,997%
Câu 39: X là axit cacboxylic hai chức, Y là muối tạo bởi X với các amin no, đơn chức; X và Y đều mạch hở. Đốt cháy hết m gam hỗn hợp E chứa X, Y cần vừa đủ 0,725 mol O2, sản phẩm chảy thu được gồm CO2, H2O và N2. Mặt khác m gam E tác dụng vừa đủ với 100ml dung dịch HCl 1M, kết thúc phản ứng thu được 21,39 gam chất hữu cơ. Biết trong E oxi chiếm 39,68433% về khối lượng. Cho các nhận định sau:
(a) Axit X có đồng phân hình học
(b) Khối lượng amin tạo nên muối Y bằng 5,2 gam
(c) X tác dụng với dung dịch NaOH sẽ thu được muối có công thức phân tử C4H2O4Na2
(d) Phân tử Y có 18 nguyên tử hidro
Số nhận định đúng là
A. 3
B. 4.
C. 2.
D. 1
Câu 40: Hỗn hợp E chứa ba este hai chức, mạch hở X, Y, Z ( Mx < MY < Mz < 230). Đốt cháy hết m gam E cần vừa đủ 1,64 mol O2, thu được 59,84 gam CO2. Mặt khác đun nóng m gam E với 130ml dung dịch NaOH 2M (vừa đủ), kết thúc phản ứng thu được 23,4 gam hỗn hợp gồm ba muối của axit cacboxylic (trong đó chỉ có 1 muối của axit cacboxylic đơn chức) và 0,2 mol hỗn hợp hai ancol no. Phần trăm khối lượng este Y trong E là
A. 30,149%
B. 44,328%
C. 29,851%
D. 22,612%
----------- HẾT ----------
Đề thi thử THPT Quốc gia năm 2021 môn Hóa Trường THPT Nguyễn Khuyễn Tp HCM được đánh giá khá hay và nhiều câu hỏi khó. Vẫn đảm bảo bám sát cấu trúc nội dung các năm trước, giúp đánh giá đúng năng lực phân loại. Các bạn có thể các em cùng tham khảo thêm một số đề thi thử các môn tại: Thi thpt Quốc gia môn Toán, Thi THPT Quốc gia môn Vật Lý,....
Ngoài ra, VnDoc.com đã thành lập group chia sẻ tài liệu ôn tập THPT Quốc gia miễn phí trên Facebook: Tài liệu học tập lớp 12 Mời các bạn học sinh tham gia nhóm, để có thể nhận được những tài liệu, đề thi mới nhất.