Giao diện mới của VnDoc Pro: Dễ sử dụng hơn - chỉ tập trung vào lớp bạn quan tâm. Vui lòng chọn lớp mà bạn quan tâm: Lưu và trải nghiệm
Đóng
Điểm danh hàng ngày
  • Hôm nay +3
  • Ngày 2 +3
  • Ngày 3 +3
  • Ngày 4 +3
  • Ngày 5 +3
  • Ngày 6 +3
  • Ngày 7 +5
Bạn đã điểm danh Hôm nay và nhận 3 điểm!
Nhắn tin Zalo VNDOC để nhận tư vấn mua gói Thành viên hoặc tải tài liệu Hotline hỗ trợ: 0936 120 169
Phân loại: Tài liệu Tính phí
Lang băm Sinh học Lớp 12

Giải thích kết quả của các phép lai và viết sơ đồ lai từ P tới F2

Dưới dây là kết quả thí nghiệm lai ruồi giấm của Moogan. Hãy giải thích kết quả của các phép lai và viết sơ đồ lai từ P tới F2

3
Xác thực tài khoản!

Theo Nghị định 147/2024/ND-CP, bạn cần xác thực tài khoản trước khi sử dụng tính năng này. Chúng tôi sẽ gửi mã xác thực qua SMS hoặc Zalo tới số điện thoại mà bạn nhập dưới đây:

Số điện thoại chưa đúng định dạng!
Số điện thoại này đã được xác thực!
Bạn có thể dùng Sđt này đăng nhập tại đây!
Lỗi gửi SMS, liên hệ Admin
3 Câu trả lời
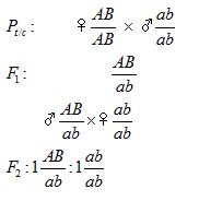
  • Phúc Huy
    Phúc Huy

    + Giải thích kết quả: Đời F1 cho kết quả 100% ruồi thân xám, cánh dài →thân xám trội với thân đen, cánh dài trội hơn với cánh ngắn.

    - P thuần chủng, khác nhau về 2 cặp tính trạng tương phản, F1 dị hợp về 2 cặp gen, nếu lai với đồng hợp lặn (đen, ngắn) sẽ cho tỉ lệ: 1: 1: 1: 1, nhưng F1 cho tỉ lệ 1: 1→ F1 chỉ tạo 2 loại giao tử, giống phép lai phân tích đối với một tính trạng → Hai gen quy định hai tính trạng màu thân và chiều dài cánh cùng nằm trên một NST.

    Quy ước: A – thân xám, a- thân đen; B – cánh dài; b – cánh cụt

    Sơ đồ lai:

    Pt/c: ♀ (Thân xám, cánh dài) x ♂ (Thân đen, cánh cụt)

    F1: 100% (thân xám, cánh dài)

    P pt ♂ (Thân xám, cánh dài) x ♀ (Thân đen, cánh cụt)

    Fa: 1 (thân xám, cánh dài): 1 (thân đen, cánh cụt)

    0 Trả lời 06/01/22
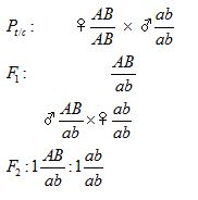
  • Chồn
    Chồn

    Pt/c: ♀ thân xám, cánh dài × ♂ thân đen, cánh cụt

    F1: 100% thân xám cánh dài

    ♂ thân xám, cánh dài × ♀ thân đen, cánh cụt

    F2: 1 thân xám cánh dài: 1 thân đen cánh cụt

    - F1 thân xám, cánh dài -> Thân xám trội so với thân đen; cánh dài trội so với cánh cụt và F1 dị hợp tử hai cặp gen

    - F2 phân li 1:1 là kết quả của phép lai phân tích con đực F1, con cái thân đen cánh cụt chỉ cho 1 loại giao tử, con đực cho 2 loại giao tử với tỷ lệ 1:1 -> Hai gen quy định hai tính trạng màu thân và chiều dài cánh cùng nằm trên một NST và không có hoán vị gen.

    Quy ước: A – thân xám, a- thân đen; B – cánh dài; b – cánh cụt

    - Sơ đồ lai:

    Giải thích kết quả của các phép lai và viết sơ đồ lai từ P tới F2

    Kiểu hình: 1 thân xám, cánh dài : 1 thân đen, cánh cụt

    0 Trả lời 06/01/22
  • Captain
    Captain

    Trong bài Giải bài tập SGK Sinh học 12 bài 11 có đáp án ạ

    0 Trả lời 06/01/22

Sinh học

Xem thêm