Giải Vở bài tập Toán 1 bài 34: Phép trừ trong phạm vi 3
Giải Vở bài tập Toán 1 bài 34 tập 1
Giải Vở bài tập Toán lớp 1 bài 34: PHÉP TRỪ TRONG PHẠM VI 3 là lời giải Vở bài tập Toán 1 tập 1 có đáp án chi tiết cho từng bài tập giúp các em học sinh ôn tập các dạng bài để học tốt môn Toán lớp 1. Mời các em học sinh cùng tham khảo.
Giải Vở bài tập Toán 1 bài 34: PHÉP TRỪ TRONG PHẠM VI 3
Bài 34: PHÉP TRỪ TRONG PHẠM VI 3
1. Tính
1 + 2 = 3
3 - 1 = 2
1 + 1 = 2
2 - 1 = 1
2 - 1 = 1
3 - 2 = 1
2 - 1 = 1
3 - 1 = 2
3 - 1 = 2
2 - 1 = 1
3 - 1 = 2
3 - 2 = 1
2. Viết số thích hợp vào chỗ chấm:

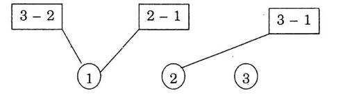
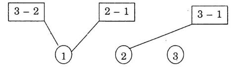
3. Nối phép tính với số thích hợp:

4. Viết phép tính thích hợp

Ngoài Giải vở bài tập Toán 1 bài 34 trên, các em học sinh lớp 1 còn có thể tham khảo đề thi học kì 1 lớp 1 hay đề thi học kì 2 lớp 1 mà VnDoc.com đã sưu tầm và chọn lọc. Hy vọng với những tài liệu này, các em học sinh sẽ học tốt môn Toán lớp 1 hơn.