Giải Vở bài tập Toán 1 bài 92
Giải Vở bài tập Toán 1 bài 92 tập 2
Giải Vở bài tập Toán 1 bài 92: Luyện tập là lời giải Vở bài tập Toán 1 tập 2 có đáp án chi tiết cho từng bài tập giúp các em học sinh ôn tập các dạng bài để học tốt môn Toán lớp 1. Mời các em học sinh cùng tham khảo.
Giải Vở Bài Tập Toán 1 bài 92: Luyện tập
1. Đặt tính rồi tính:

2. Tính nhẩm:

3. Giỏ thứ nhất đựng 30 quả cam, giỏ thứ hai đựng 20 quả cam. Hỏi cả hai giỏ đựng được bao nhiêu quả cam?
Tóm tắt
Giỏ thứ nhất: 30 quả cam
Giỏ thứ hai: 20 quả cam
Cả hai giỏ: ... quả cam?
Bài giải:
Cả hai giỏ có số quả cam là:
30 + 20 = 50 (quả)
Đáp số: 50 quả.
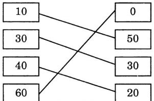
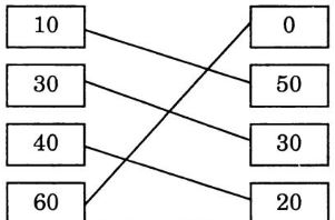
4. Nối hai số để cộng lại bằng 60 (theo mẫu):

Ngoài Giải Vở bài tập Toán 1 bài 92 trên, các em học sinh lớp 1 còn có thể tham khảo đề thi học kì 1 lớp 1 hay đề thi học kì 2 lớp 1 mà VnDoc.com đã sưu tầm và chọn lọc. Hy vọng với những tài liệu này, các em học sinh sẽ học tốt môn Toán lớp 1 hơn.