Giải Vở bài tập Toán 1 bài 40: Số 0 trong phép trừ
Giải Vở bài tập Toán 1 bài 40 tập 1
Giải Vở bài tập Toán lớp 1 bài 40: SỐ 0 TRONG PHÉP TRỪ là lời giải Vở bài tập Toán 1 tập 1 có đáp án chi tiết cho từng bài tập giúp các em học sinh ôn tập các dạng bài để học tốt môn Toán lớp 1. Mời các em học sinh cùng tham khảo.
Giải Vở bài tập Toán 1 bài 40: SỐ 0 TRONG PHÉP TRỪ
Bài 40: SỐ 0 TRONG PHÉP TRỪ
1. Tính
5 - 1 = 4
5 - 2 = 3
5 - 3 = 2
5 - 4 = 1
5 - 5 = 0
1 - 1 = 0
2 - 2 = 0
3 - 3 = 0
4 - 4 = 0
5 - 5 = 0
1 - 0 = 1
2 - 0 = 2
3 - 0 = 3
4 - 0 = 4
5 - 0 = 5
2. Tính
0 + 2 = 2
2 + 0 = 2
2 - 2 = 0
2 - 0 = 2
0 + 3 = 0
3 + 0 = 3
3 - 0 = 3
3 - 3 = 0
0 + 4 = 0
4 + 0 = 4
4 - 4 = 0
4 - 0 = 4
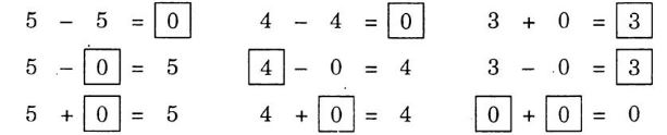
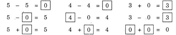
3. Số?

4. Viết phép tính thích hợp:

Ngoài Giải vở bài tập Toán 1 bài 40 trên, các em học sinh lớp 1 còn có thể tham khảo đề thi học kì 1 lớp 1 hay đề thi học kì 2 lớp 1 mà VnDoc.com đã sưu tầm và chọn lọc. Hy vọng với những tài liệu này, các em học sinh sẽ học tốt môn Toán lớp 1 hơn.