Giải Vở bài tập Toán 1 bài 65: Luyện tập chung
Giải Vở bài tập Toán 1 bài 65 tập 1
Giải Vở bài tập Toán lớp 1 bài 65: LUYỆN TẬP CHUNG là lời giải Vở bài tập Toán 1 tập 1 có đáp án chi tiết cho từng bài tập giúp các em học sinh ôn tập các dạng bài để học tốt môn Toán lớp 1. Mời các em học sinh cùng tham khảo.
Giải Vở bài tập Toán 1 bài 65: LUYỆN TẬP CHUNG
Bài 65: LUYỆN TẬP CHUNG
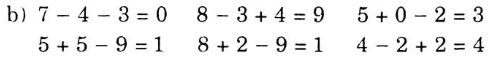
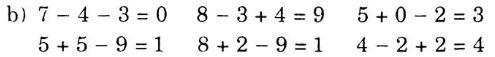
1. Tính:


2. Số?


4. Viết phép tính thích hợp
a.
Có: 6 cây
Trồng thêm: 3 cây
Tất cả: …. cây?
Tất cả: 6 + 3 = 9 cây
b.
Có: 10 cái bát
Làm vỡ: 1 cái bát
Còn lại:….?
Còn lại: 10 - 1 = 9 cái bát
5. Vẽ thích hợp vào chỗ trống

Ngoài Giải vở bài tập Toán 1 bài 65 trên, các em học sinh lớp 1 còn có thể tham khảo đề thi học kì 1 lớp 1 hay đề thi học kì 2 lớp 1 mà VnDoc.com đã sưu tầm và chọn lọc. Hy vọng với những tài liệu này, các em học sinh sẽ học tốt môn Toán lớp 1 hơn.