Giải Vở bài tập Toán 1 tập 1: Tự kiểm tra cuối học kì 1
Tự kiểm tra học kì 1 môn Toán lớp 1
Giải Vở bài tập Toán 1 tập 1: Tự kiểm tra cuối học kì 1 là lời giải Vở bài tập Toán 1 tập 1 có đáp án chi tiết cho từng bài tập, giúp các em học sinh ôn tập các dạng bài để học tốt môn Toán lớp 1. Mời các em học sinh cùng tham khảo.
Giải Vở Bài Tập Toán lớp 1: Tự kiểm tra cuối học kì 1
Tự kiểm tra
1. Tính



4. Viết phép tính thích hợp
Đã có: 5 viên bi
Mua thêm: 3 viên bi
Tất cả:… viên bi?
Tất cả: 5 + 3 = 8 viên bi
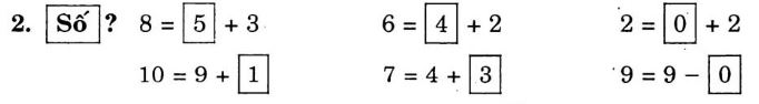
5. Số?

Có tất cả 6 hình vuông
Ngoài Giải Vở bài tập Toán 1: Tự kiểm tra cuối học kì 1 trên, các em học sinh lớp 1 còn có thể tham khảo đề thi học kì 1 lớp 1 hay đề thi học kì 2 lớp 1 mà VnDoc.com đã sưu tầm và chọn lọc. Hy vọng với những tài liệu này, các em học sinh sẽ học tốt môn Toán lớp 1 hơn.