Lý thuyết Công nghệ 10 Cánh diều bài 11
Chúng tôi xin giới thiệu bài Lý thuyết Công nghệ 10 bài 11: Hình chiếu trục đo được VnDoc sưu tầm và tổng hợp lí thuyết và bài tập có đáp án đi kèm nằm trong chương trình giảng dạy môn Công nghệ lớp 10 sách Cánh diều.
Bài: Hình chiếu trục đo
A. Lý thuyết Công nghệ 10 bài 11
I. Khái quát chung về hình chiếu trục đo
1. Khái niệm
Là hình biểu diễn ba chiều vật thể và được xây dựng bằng phép chiếu song song.
2. Phương pháp hình chiếu trục đo
- Gắn hệ tọa độ vuông góc lên vật thể.
- Chiếu vật thể cùng hệ trục tọa độ lên mặt phẳng hình chiếu.

3. Đặc điểm
- Trục đo: O’x’, O’y’, O’z’
- Góc trục đo: góc x’O’y’, góc x’O’z’, góc y’O’z’
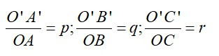
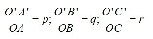
- Hệ số biến dạng:

II. Hình chiếu trục đo vuông góc đều và hình chiếu trục đo xiên góc cân
III. Vẽ hình chiếu trục đo
- Bước 1: Dựng trục đo và khối hộp bao ngoài
- Bước 2: Thêm hoặc bớt các khối
- Bước 3: Hoàn thiện
B. Bài tập trắc nghiệm Công nghệ 10 bài 11
Câu 1. Hình chiếu trục đo có thông số cơ bản nào?
A. Góc trục đo
B. Hệ số biến dạng
C. Cả A và B đều đúng
D. Cả A và B đều sai
Đáp án đúng: C
Giải thích: Hình chiếu trục đo có 2 thông số cơ bản:
+ Góc trục đo
+ Hệ số biến dạng
Câu 2. Hãy cho biết, p là hệ số biến dạng theo trục nào?
A. O’x’
B. O’y’
C. O’z’
D. Cả 3 đáp án trên
Đáp án đúng: A
Giải thích:
+ p: hệ số biến dạng theo trục O’x’
+ q: hệ số biến dạng theo trục O’y’
+ r : hệ số biến dạng theo trục O’z’
Câu 3. Hãy cho biết, q là hệ số biến dạng theo trục nào?
A. O’x’
B. O’y’
C. O’z’
D. Cả 3 đáp án trên
Đáp án đúng: B
Giải thích:
+ p: hệ số biến dạng theo trục O’x’
+ q: hệ số biến dạng theo trục O’y’
+ r : hệ số biến dạng theo trục O’z’
Câu 4. Hãy cho biết, r là hệ số biến dạng theo trục nào?
A. O’x’
B. O’y’
C. O’z’
D. Cả 3 đáp án trên
Đáp án đúng: C
Giải thích:
+ p: hệ số biến dạng theo trục O’x’
+ q: hệ số biến dạng theo trục O’y’
+ r : hệ số biến dạng theo trục O’z’
Câu 5. Có mấy loại hình chiếu trục đo được giới thiệu trong bài học?
A. 1
B. 2
C. 3
D. 4
Đáp án đúng: B
Giải thích: Có 2 loại hình chiếu trục đo được giới thiệu trong bài học:
+ Hình chiếu trục đo vuông góc đều
+ Hình chiếu trục đo xiên góc cân
Câu 6. Hình chiếu trục đo biểu diễn mấy chiều vật thể?
A. 1
B. 2
C. 3
D. 4
Đáp án đúng: C
Giải thích: Hình chiếu trục đo là hình biểu diễn đồng thời cả 3 chiều vật thể và được xây dựng bằng phép chiếu song song.
Câu 7. Hình chiếu trục đo xây dựng bằng phép chiếu nào?
A. Vuông góc
B. Song song
C. Xuyên tâm
D. Cả 3 đáp án trên
Đáp án đúng: B
Giải thích: Hình chiếu trục đo là hình biểu diễn đồng thời cả 3 chiều vật thể và được xây dựng bằng phép chiếu song song.
Câu 8. Hình chiếu trục đo có mấy trục đo?
A. 1
B. 2
C. 3
D. 4
Đáp án đúng: C
Giải thích: Hình chiếu trục đo có 3 trục đo:
+ Trục O’x’
+ Trục O’y’
+ Trục O’z’
Câu 9. Hình chiếu trục đo có trục đo nào sau đây?
A. Trục O’x’
B. Trục O’y’
C. Trục O’z’
D. Cả 3 đáp án trên
Đáp án đúng: D
Giải thích: Hình chiếu trục đo có 3 trục đo:
+ Trục O’x’
+ Trục O’y’
+ Trục O’z’
Câu 10. Hình chiếu trục đo có mấy thông số cơ bản?
A. 1
B. 2
C. 3
D. 4
Đáp án đúng: B
Giải thích: Hình chiếu trục đo có 2 thông số cơ bản:
+ Góc trục đo
+ Hệ số biến dạng
Câu 11. Hãy cho biết, bài học giới thiệu loại hình chiếu trục đo nào?
A. Hình chiếu trục đo vuông góc đều
B. Hình chiếu trục đo xiên góc cân
C. Cả A và B đều đúng
D. Cả A và B đều sai
Đáp án đúng: C
Giải thích: Có 2 loại hình chiếu trục đo được giới thiệu trong bài học:
+ Hình chiếu trục đo vuông góc đều
+ Hình chiếu trục đo xiên góc cân
Câu 12. Vẽ hình chiếu trục đo thực hiện theo mấy bước?
A. 1
B. 2
C. 3
D. 4
Đáp án đúng: C
Giải thích: Vẽ hình chiếu trục đo thực hiện theo 3 bước:
+ Bước 1: Dựng trục đo và khối hộp bao ngoài
+ Bước 2: Thêm hoặc bớt các khối
+ Bước 3: Hoàn thiện
Câu 13. Bước 1 của quy trình vẽ hình chiếu trục đo là:
A. Dựng trục đo và khối hộp bao ngoài
B. Thêm hoặc bớt các khối
C. Hoàn thiện
D. Cả 3 đáp án trên
Đáp án đúng: A
Giải thích: Vẽ hình chiếu trục đo thực hiện theo 3 bước:
+ Bước 1: Dựng trục đo và khối hộp bao ngoài
+ Bước 2: Thêm hoặc bớt các khối
+ Bước 3: Hoàn thiện
Câu 14. Bước 2 của quy trình vẽ hình chiếu trục đo là:
A. Dựng trục đo và khối hộp bao ngoài
B. Thêm hoặc bớt các khối
C. Hoàn thiện
D. Cả 3 đáp án trên
Đáp án đúng: B
Giải thích: Vẽ hình chiếu trục đo thực hiện theo 3 bước:
+ Bước 1: Dựng trục đo và khối hộp bao ngoài
+ Bước 2: Thêm hoặc bớt các khối
+ Bước 3: Hoàn thiện
Câu 15. Bước 3 của quy trình vẽ hình chiếu trục đo là:
A. Dựng trục đo và khối hộp bao ngoài
B. Thêm hoặc bớt các khối
C. Hoàn thiện
D. Cả 3 đáp án trên
Đáp án đúng: C
Giải thích: Vẽ hình chiếu trục đo thực hiện theo 3 bước:
+ Bước 1: Dựng trục đo và khối hộp bao ngoài
+ Bước 2: Thêm hoặc bớt các khối
+ Bước 3: Hoàn thiện
>>>> Bài tiếp theo: Lý thuyết Công nghệ 10 Cánh diều bài 12
Như vậy, chúng tôi đã gửi tới các bạn Lý thuyết Công nghệ 10 bài 11: Hình chiếu trục đo sách Cánh diều. Ngoài ra, các em học sinh có thể tham khảo môn Hóa 10 Cánh diều, Lý 10 Cánh diều và Toán 10 Cánh diều, Sinh 10 Cánh diều đầy đủ khác.