Giao diện mới của VnDoc Pro: Dễ sử dụng hơn - chỉ tập trung vào lớp bạn quan tâm. Vui lòng chọn lớp mà bạn quan tâm: Lưu và trải nghiệm
Đóng
Điểm danh hàng ngày
  • Hôm nay +3
  • Ngày 2 +3
  • Ngày 3 +3
  • Ngày 4 +3
  • Ngày 5 +3
  • Ngày 6 +3
  • Ngày 7 +5
Bạn đã điểm danh Hôm nay và nhận 3 điểm!
Nhắn tin Zalo VNDOC để nhận tư vấn mua gói Thành viên hoặc tải tài liệu Hotline hỗ trợ: 0936 120 169

Đề tuyển sinh vào lớp 6 môn Toán phần trắc nghiệm

Đóng
Bạn đã dùng hết 1 lần làm bài Trắc nghiệm miễn phí. Mời bạn mua tài khoản VnDoc PRO để tiếp tục! Tìm hiểu thêm
Mô tả thêm:

Đề tuyển sinh vào lớp 6 môn Toán có đáp án

Đề thi tuyển sinh vào lớp 6 môn Toán của chúng tôi sẽ giúp các em học sinh cũng như phụ huynh có được cái nhìn khái quát về dạng đề thi tuyển sinh vào THCS môn Toán. Từ đó giúp các em định hướng dạng đề thi và có kế hoạch ôn tập rèn luyện đúng đắn để mang lại hiệu quả cao trong kỳ thi tuyển sinh vào lớp 6.

Các đề thi vào lớp 6 khác:

  • Thời gian làm: 25 phút
  • Số câu hỏi: 20 câu
  • Số điểm tối đa: 20 điểm
Bắt đầu làm bài
Bạn còn 1 lượt làm bài tập miễn phí. Hãy mua tài khoản VnDoc PRO để học không giới hạn nhé! Bạn đã HẾT lượt làm bài tập miễn phí! Hãy mua tài khoản VnDoc PRO để làm Trắc nghiệm không giới hạn và tải tài liệu nhanh nhé!
Mua ngay Đổi điểm
Trước khi làm bài bạn hãy
  • 1 Ôn tập kiến thức đã nêu trong phần Mô tả thêm
  • 2 Tìm không gian và thiết bị phù hợp để tập trung làm bài
  • 3 Chuẩn bị sẵn dụng cụ cần dùng khi làm bài như bút, nháp, máy tính
  • 4 Căn chỉnh thời gian làm từng câu một cách hợp lý
  • Câu 1: Nhận biết

    Câu 1:

    Một sân trường hình chữ nhật có chiều dài 40m, chiều rộng 25m. Trên bản đồ tỷ lệ 1 : 500 thì sân trường đó có diện tích là:
  • Câu 2: Nhận biết

    Câu 2:

    Hình thang có diện tích 8,1 mvà trung bình cộng độ dài hai đáy bằng 9/7 m. Chiều cao của hình thang đó là:
  • Câu 3: Nhận biết

    Câu 3:

    Mua một cuốn sách được giảm giá 25% giá bìa thì phải trả 13 200 đồng. Giá bìa quyển sách đó là:
  • Câu 4: Nhận biết

    Câu 4:

    Kích thước 2 đường chéo của một hình thoi lần lượt là 50 cm và 100 cm. Để một hình vuông có diện tích bằng của hình thoi đó thì cạnh của hình vuông phải có kích thước là:
  • Câu 5: Nhận biết

    Câu 5:

    Bán kính một hình tròn bằng độ dài cạnh của một hình vuông. Tỷ số phần trăm giữa chu vi hình tròn và chu vi hình vuông là:
  • Câu 6: Nhận biết

    Câu 6:

    Giá của một lít xăng A2 tăng từ 12 000 đồng lên 15 000 đồng. Vậy giá của một lít xăng A92 đã tăng là:
  • Câu 7: Nhận biết

    Câu 7:

    Hình chữ nhật  ABCD được chia thành 6 hình vuông như hình vẽ. Biết mỗi hình vuông có chu vi là 28 cm. Vậy chu vi hình chữ nhật ABCD là:

  • Câu 8: Nhận biết

    Câu 8:

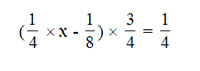
    Tìm x, biết:
  • Câu 9: Nhận biết

    Câu 9:

    Diện tích phần tô đậm ở hình chữ nhật ABCD có AE = 1/3 AB là:

  • Câu 10: Nhận biết

    Câu 10:

    Một người đi bộ được 1 giờ 45 phút. Để tính quãng đường đã đi, người đó lấy vận tốc đã đi (km/giờ) nhân với 1,45 và với cách tính đó thì quãng đường đã sai mất 2,4 km. Vậy người đó đi với vận tốc là:
  • Câu 11: Nhận biết

    Câu 11:

    Trong một tháng nào đó có ngày đầu tháng và ngày cuối tháng đều là chủ nhật. Vậy tháng đó là:
  • Câu 12: Nhận biết

    Câu 12:

    Nếu tăng chiều dài hình chữ nhật thêm 25% và muốn diện tích hình chữ nhật đó không thay đổi thì chiều rộng phải:
  • Câu 13: Nhận biết

    Câu 13:

    2/5 m= .............. dm2. Số thích hợp để điền vào chỗ trống "............." là:
  • Câu 14: Nhận biết

    Câu 14:

    Số hinh chữ nhật ở hình dưới là:
  • Câu 15: Nhận biết

    Câu 15:

    Lúc mẹ 26 tuổi thì sinh bé Lan. Đến năm 2008, tổng số tuổi của hai mẹ con là 42. Vậy mẹ sinh bé Lan vào năm:
  • Câu 16: Nhận biết

    Câu 16:

    Một người cưa khúc gỗ dài 60 dm thành những đoạn dài 15 dm, mỗi lần cưa mất 6 phút, thời gian nghỉ giữa 2 lần cưa là 2 phút. Vậy thời gian người ấy cưa xong khúc gỗ là:
  • Câu 17: Nhận biết

    Câu 17:

    Cho các bánh xe chuyển động lắp đặt như hình dưới đây. Biết bán kính bánh xe (1) là 4 m, bán kính bánh xe (2) là 1 m. Khi bánh xe số (1) quay được 1,5 vòng thì bánh xe số (2) phải là:
          
  • Câu 18: Nhận biết

    Câu 18:

    Hai người cùng khởi hành một lúc, đi từ A và B cách nhau 600 m, đi về hướng nhau. Vận tốc người đi từ A gấp đôi người đi từ B. Chỗ gặp nhau cách B là:
  • Câu 19: Nhận biết

    Câu 19:

    Bán kính hình tròn lớn gấp 5 lần bán kính hình tròn bé. Vậy diện tích hình tròn lớn gấp diện tích hình tròn bé là:
  • Câu 20: Nhận biết

    Câu 20:

    Người ta viết liên tiếp: ĐOANKETĐOANKETĐOAN....  thì chữ cái thứ 975 là:

Chúc mừng Bạn đã hoàn thành bài!

Đề tuyển sinh vào lớp 6 môn Toán phần trắc nghiệm Kết quả
  • Thời gian làm bài: 00:00:00
  • Số câu đã làm: 0
  • Điểm tạm tính: 0
  • Điểm thưởng: 0
Tải file làm trên giấy

Đấu trường Đề tuyển sinh vào lớp 6 môn Toán phần trắc nghiệm

Đang tìm đối thủ...

Đang tải...

Xác thực tài khoản!

Theo Nghị định 147/2024/ND-CP, bạn cần xác thực tài khoản trước khi sử dụng tính năng này. Chúng tôi sẽ gửi mã xác thực qua SMS hoặc Zalo tới số điện thoại mà bạn nhập dưới đây:

Số điện thoại chưa đúng định dạng!
Số điện thoại này đã được xác thực!
Bạn có thể dùng Sđt này đăng nhập tại đây!
Lỗi gửi SMS, liên hệ Admin
Sắp xếp theo