Giao diện mới của VnDoc Pro: Dễ sử dụng hơn - chỉ tập trung vào lớp bạn quan tâm. Vui lòng chọn lớp mà bạn quan tâm: Lưu và trải nghiệm
Đóng
Điểm danh hàng ngày
  • Hôm nay +3
  • Ngày 2 +3
  • Ngày 3 +3
  • Ngày 4 +3
  • Ngày 5 +3
  • Ngày 6 +3
  • Ngày 7 +5
Bạn đã điểm danh Hôm nay và nhận 3 điểm!
Nhắn tin Zalo VNDOC để nhận tư vấn mua gói Thành viên hoặc tải tài liệu Hotline hỗ trợ: 0936 120 169
Phân loại: Tài liệu Tính phí
Nguyễn Linh An Vật Lý Lớp 11

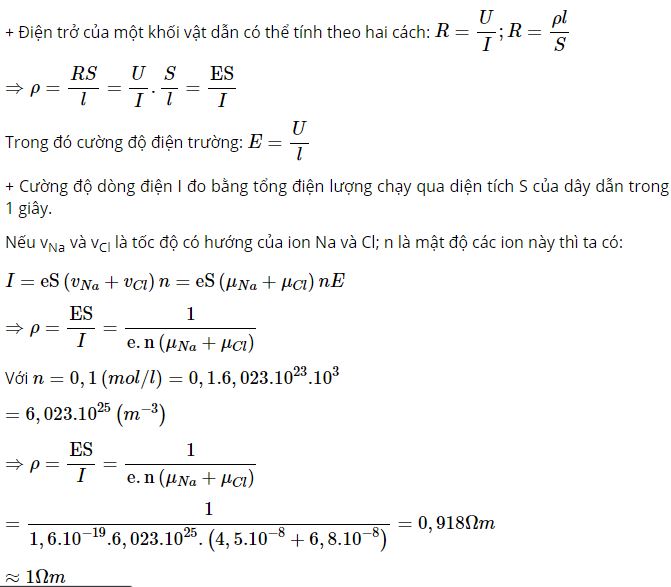
Tính điện trở suất của dung dịch NaCl nồng độ 0,1 mol/l

Tốc độ chuyển động có hướng của ion Na+ và Cl- trong nước có thể tính theo công thức: v = μE, trong đó E là cường độ điện trường, μ có giá trị lần lượt là 4,5.10-8 m2/(V.s) và 6,8.10-8 m2/(V.s). , cho rằng toàn bộ các phân tử NaCl đều phân li thành ion.

2
Xác thực tài khoản!

Theo Nghị định 147/2024/ND-CP, bạn cần xác thực tài khoản trước khi sử dụng tính năng này. Chúng tôi sẽ gửi mã xác thực qua SMS hoặc Zalo tới số điện thoại mà bạn nhập dưới đây:

Số điện thoại chưa đúng định dạng!
Số điện thoại này đã được xác thực!
Bạn có thể dùng Sđt này đăng nhập tại đây!
Lỗi gửi SMS, liên hệ Admin
2 Câu trả lời

Vật Lý

Xem thêm