Phân loại:
Tài liệu Tính phí
Bài 17 trang 14 SGK Toán 9 Tập 1
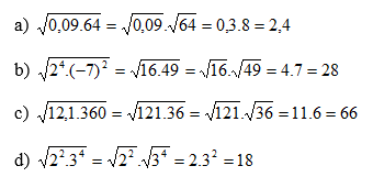
Bài 17 (trang 14 SGK Toán 9 Tập 1): Áp dụng quy tắc khai phương một tích, hãy tính:

Xác thực tài khoản!
Theo Nghị định 147/2024/ND-CP, bạn cần xác thực tài khoản trước khi sử dụng tính năng này. Chúng tôi sẽ gửi mã xác thực qua SMS hoặc Zalo tới số điện thoại mà bạn nhập dưới đây:
Số điện thoại chưa đúng định dạng!
Xóa
Đăng nhập để viết
3 Câu trả lời
-
Song Ngư0 Trả lời · 29/09/21 -
Batman0 Trả lời · 29/09/21 -
Sư Tử0 Trả lời · 29/09/21