Bộ đề kiểm tra giữa học kì 1 môn Toán lớp 11 năm học 2014 - 2015
Bộ đề kiểm tra giữa học kì 1 môn Toán lớp 11
Bộ đề kiểm tra giữa học kì 1 môn Toán lớp 11 năm học 2014 - 2015 là tài liệu hữu ích giúp các bạn học sinh ôn tập môn Toán hiệu quả. Với đề thi đa dạng và bám sát chương trình học, các bạn sẽ hệ thống được kiến thức của mình một cách chủ động nhất, luyện đề nhằm chuẩn bị sẵn sàng cho bài thi giữa kì 1, bài kiểm tra cuối kì đạt kết quả tốt nhất.
Đề thi giữa học kì 1 môn Toán lớp 11 trường THPT Trần Hưng Đạo, TP. Hồ Chí Minh năm học 2016 - 2017
Đề kiểm tra giữa học kì 1 môn Toán lớp 11 năm học 2015 - 2016 trường THPT Thống Nhất A, Đồng Nai
Đề thi giữa học kì 1 môn Toán lớp 11 trường THPT Phan Ngọc Hiển, Cà Mau năm 2015 - 2016
ĐỀ ÔN TẬP KIỂM TRA GIỮA KÌ 1 – Năm học 2014-2015
ĐỀ 1
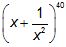
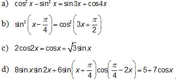
Câu 1. Giải các phương trình lượng giác sau:

Câu 2. Một cái hộp có 5 quả cầu trắng, 4 quả cầu đỏ và 6 quả cầu xanh. Có bao nhiêu cách chọn ra:
a. 6 quả cầu tùy ý
b. 6 quả cầu trong đó có ít nhất 3 quả cầu trắng
Câu 3. Giải phương trình: ![]()
Câu 4. Tìm hệ số của x20 trong khai triển (x - x3)10
Câu 5. Trong mp Oxy cho điểm I(1;2) và đường thẳng (d): 3x + 2y - 6 = 0. Viết phương trình đường thẳng d' là ảnh của d qua V(1, 2).
Câu 6. Cho hình chóp S.ABCD có đáy là tứ giác có các cặp cạnh đối diện không song song. M là điểm thuộc miền trong của tam giác SAB. Tìm giao tuyến của (SCM) và (SCD), (CDM) và (SCD).
ĐỀ 2
Câu 1. Giải phương trình sau:

Câu 2. Từ các số 0, 1, 2, 3, 4, 5, 6, 7 có thể lập bao nhiêu số tự nhiên gồm 5 chữ số khác nhau và chia hết cho 5?
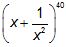
Câu 3. Tìm hệ số của x31 trong khai triển ![]()
Câu 4. Giải phương trình: ![]()
Câu 5. Tìm d' là ảnh của (d): 3x - y + 5 = 0 qua V(1, -2) và Q(O, 900) với I(1;-2)
Câu 6. Cho hình bình hành ABCD, điểm S không thuộc mp(ABCD) và điểm E là trung điểm của SC. Tìm giao tuyến của (BED) và (SAC), (ABE) và (SBD), (AED) và (SBC).