Giao diện mới của VnDoc Pro: Dễ sử dụng hơn - chỉ tập trung vào lớp bạn quan tâm. Vui lòng chọn lớp mà bạn quan tâm: Lưu và trải nghiệm
Đóng
Điểm danh hàng ngày
  • Hôm nay +3
  • Ngày 2 +3
  • Ngày 3 +3
  • Ngày 4 +3
  • Ngày 5 +3
  • Ngày 6 +3
  • Ngày 7 +5
Bạn đã điểm danh Hôm nay và nhận 3 điểm!
Nhắn tin Zalo VNDOC để nhận tư vấn mua gói Thành viên hoặc tải tài liệu Hotline hỗ trợ: 0936 120 169

Đề thi giữa học kì 1 môn Toán lớp 11 trường THPT Phan Ngọc Hiển, Cà Mau năm 2015 - 2016

Lớp: Lớp 11
Môn: Toán
Dạng tài liệu: Đề thi
Loại File: Word + PDF
Phân loại: Tài liệu Tính phí

Đề thi giữa học kì 1 môn Toán lớp 11

Đề thi giữa học kì 1 môn Toán lớp 11 trường THPT Phan Ngọc Hiển, Cà Mau năm 2015 - 2016 là tài liệu ôn tập hữu ích dành cho các bạn học sinh muốn củng cố kiến thức Toán trong nửa đầu năm học lớp 11, ôn thi học kì 1 hiệu quả. Mời các bạn tham khảo.

Đề thi giữa học kì 1 môn Vật lý lớp 11 trường THPT Phan Ngọc Hiển, Cà Mau năm 2015 - 2016

Đề kiểm tra giữa học kì 1 môn Toán lớp 11 năm học 2015 - 2016 trường THPT Thống Nhất A, Đồng Nai

Bộ đề kiểm tra giữa học kì 1 môn Toán lớp 11 năm học 2014 - 2015

Trường THPT Phan Ngọc Hiển

Tổ Toán

ĐỀ KIỂM TRA 1 TIẾT

Môn Toán, khối 11


Câu 1: (2.0 điểm)

Khai triển (x + y)6 thành đa thức bậc sáu.

Câu 2: (5.0 điểm)

Một lớp học có 40 học sinh gồm 25 nam và 15 nữ. Có bao nhiêu cách chọn 4 học sinh sao cho:

a) Số học sinh nam hoặc nữ tùy ý;

b) Phải có 2 nam và 2 nữ;

c) Phải có ít nhất 1 nữ.

Câu 3: (3.0 điểm)

Gieo một đồng tiền ba lần. Gọi A là biến cố "mặt ngửa xuất hiện ít nhất một lần". Tính xác suất của biến cố A.

Đáp án đề thi giữa học kì 1 môn Toán lớp 11

Câu 1 (2.0 điểm)

Khai triển (x + y) thành đa thức bậc sáu.

Đề thi giữa học kì 1 môn Toán lớp 11 trường THPT Phan Ngọc Hiển, Cà Mau năm 2015 - 2016

= x6 + 6x5y + 15x4y2 + 20x3y3 + 15x2y4 + 6xy5 + y6

Câu 2 (5.0 điểm)

a) Số cách chọn 4 học sinh (nam hoặc nữ tùy ý) là:

C440 = 91390 (cách)

b) Số cách chọn 4 học sinh phải có 2 nam và 2 nữ là:

C225.C215 = 31500 (cách)

c) Số cách chọn 4 học sinh phải có ít nhất 1 nữ là:

C440 - C425 = 78740 (cách)

Câu 3 (3.0 điểm)

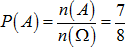
Gieo một đồng tiền ba lần. Gọi A là biến cố "mặt ngửa xuất hiện ít nhất một lần".

Không gian mẫu: Ω = {SSS, SSN, SNS, NSS, SNN, NSN, NNS, NNN}

Suy ra n(Ω) = 8

A = {SSN, SNS, SNS, NSS, SNN, NSN, NNS, NNN}

Suy ra n(A) = 7

Vậy xác suất của biến cố A là: Đề thi giữa học kì 1 môn Toán lớp 11 trường THPT Phan Ngọc Hiển, Cà Mau năm 2015 - 2016

Chọn file muốn tải về:
Đóng Chỉ thành viên VnDoc PRO/PROPLUS tải được nội dung này!
Đóng
79.000 / tháng
Đặc quyền các gói Thành viên
PRO
Phổ biến nhất
PRO+
Tải tài liệu Cao cấp 1 Lớp
30 lượt tải tài liệu
Xem nội dung bài viết
Trải nghiệm Không quảng cáo
Làm bài trắc nghiệm không giới hạn
Mua cả năm Tiết kiệm tới 48%

Có thể bạn quan tâm

Xác thực tài khoản!

Theo Nghị định 147/2024/ND-CP, bạn cần xác thực tài khoản trước khi sử dụng tính năng này. Chúng tôi sẽ gửi mã xác thực qua SMS hoặc Zalo tới số điện thoại mà bạn nhập dưới đây:

Số điện thoại chưa đúng định dạng!
Số điện thoại này đã được xác thực!
Bạn có thể dùng Sđt này đăng nhập tại đây!
Lỗi gửi SMS, liên hệ Admin
Sắp xếp theo
🖼️

Toán 11

Xem thêm
🖼️

Gợi ý cho bạn

Xem thêm