Đề thi giữa học kì 1 môn Vật lý lớp 11 trường THPT Phan Ngọc Hiển, Cà Mau năm 2015 - 2016
Đề thi giữa học kì 1 môn Vật lý lớp 11
Đề thi giữa học kì 1 môn Vật lý lớp 11 trường THPT Phan Ngọc Hiển, Cà Mau năm 2015 - 2016 là đề kiểm tra giữa kì I môn Lý lớp 11 có đáp án dành cho các bạn học sinh và thầy cô tham khảo, làm tài liệu nghiên cứu, học tập môn Vật lý lớp 11 hiệu quả.
Đề thi giữa học kì 1 môn Toán lớp 11 trường THPT Phan Ngọc Hiển, Cà Mau năm 2015 - 2016
Đề kiểm tra giữa học kì 1 môn Vật lý lớp 11 năm học 2015 - 2016 trường THPT Thống Nhất A, Đồng Nai
Bộ đề kiểm tra giữa học kì 1 môn Toán lớp 11 năm học 2014 - 2015
|
Trường THPT Phan Ngọc Hiển |
BÀI KIỂM TRA 45 PHÚT Môn Vật lí 11 |
A. Phần trắc nghiệm
Câu 1: Hai điện tích điểm q1 = -4.10-5C và q2 = 5.10-5C đặt cách nhau 5cm trong chân không. Lực tương tác giữa hai điện tích đó bằng
A. 3,6 N B. 72.102 N C. 0,72N D. 7,2 N
Câu 2: Cho một vật A nhiễm điện dương tiếp xúc với một vật B chưa nhiễm điện thì
A. vật B nhiễm điện hưởng ứng. B. vật B nhiễm điện dương.
C. vật B không nhiễm điện. D. vật B nhiễm điện âm.
Câu 3: Chọn câu sai:
A. Đường sức của điện trường tại mỗi điểm trùng với véctơ cuường độ điện trường.
B. Qua bất kỳ một điểm nào trong điện trường cũng có thể vẽ được một đường sức
C. Các đường sức không cắt nhau và chiều của đường sức là chiều của cường độ điện trường.
D. Đường sức của điện trường tĩnh không khép kín. Xuất phát từ dương và đi vào ở âm
Câu 4: Công của lực điện trường tác dụng lên một điện tích chuyển động từ M đến N sẽ:
A. càng lớn nếu đoạn đường đi càng dài. B. phụ thuộc vào dạng quỹ đạo.
C. phụ thuộc vào vị trí các điểm M và N. D. chỉ phụ thuộc vào vị tí M.
Câu 5: Biết hiệu điện thế UNM = 3V. Hỏi đẳng thức nào dưới đây chắc chắn đúng:
A. VM = 3V B. VN - VM = 3V C. VN = 3V D. VM - VN = 3V
Câu 6: Gọi Q, C và U là điện tích, điện dung và hiệu điện thế giữa hai bản của tụ điện. Phát biểu nào dưới đây là đúng?
A. C tỉ lệ thuận với Q. B. C tỉ lệ nghịch với U.
C. C phụ thuộc vào Q và U. D. C không phụ thuộc vào Q và U.
Câu 7: Suất điện động của nguồn điện đặc trưng cho
A. khả năng tích điện cho hai cực của nó. B. khả năng dự trữ điện tích của nguồn điện.
C. khả năng thực hiện công của nguồn điện. D. khả năng tác dụng lực của nguồn điện.
Câu 8: Phát biểu nào sau đây là không đúng?
A. Dòng điện là dòng các điện tích dịch chuyển có hướng.
B. Cường độ dòng điện là đại lượng đặc trưng cho tác dụng mạnh, yếu của dòng điện và được đo bằng điện lượng chuyển qua tiết diện thẳng của vật dẫn trong một đơn vị thời gian.
C. Chiều của dòng điện được quy ước là chiều chuyển dịch của các điện tích dương.
D. Chiều của dòng điện được quy ước là chiều chuyển dịch của các điện tích âm.
Câu 9: Đặt vào 2 đầu của một tụ điện một hiệu điện thế U = 120V thì điện tích của tụ 24.10-4C. Điện dung của tụ điện:
A. 0,02μF B. 2μF C. 0,2F D. 20F
Câu 10: Chọn câu đúng: Điện năng tiêu thụ được đo bằng.
A. vôn kế. B. công tơ điện C. ampe kế. D. tĩnh điện kế.
Câu 11: Biểu thức nào dưới đây biểu diễn một đại lượng có đơn vị là vôn?
A. Ed. B. qE. C. qEd. D. qV.
Câu 12: Chọn câu đúng: Ghép song song n nguồn điện giống nhau để tạo thành một bộ nguồn. Gọi E và r là suất điện động và điện trở trong của mỗi nguồn điện, thì bộ nguồn có:
A. Suất điện động E và điện trở trong r/n. B. Suất điện động E và điện trở trong nr.
C. Suất điện động nE và điện trở trong r. D. Tất cả A, B, C là đúng.
B. Phần tự luận
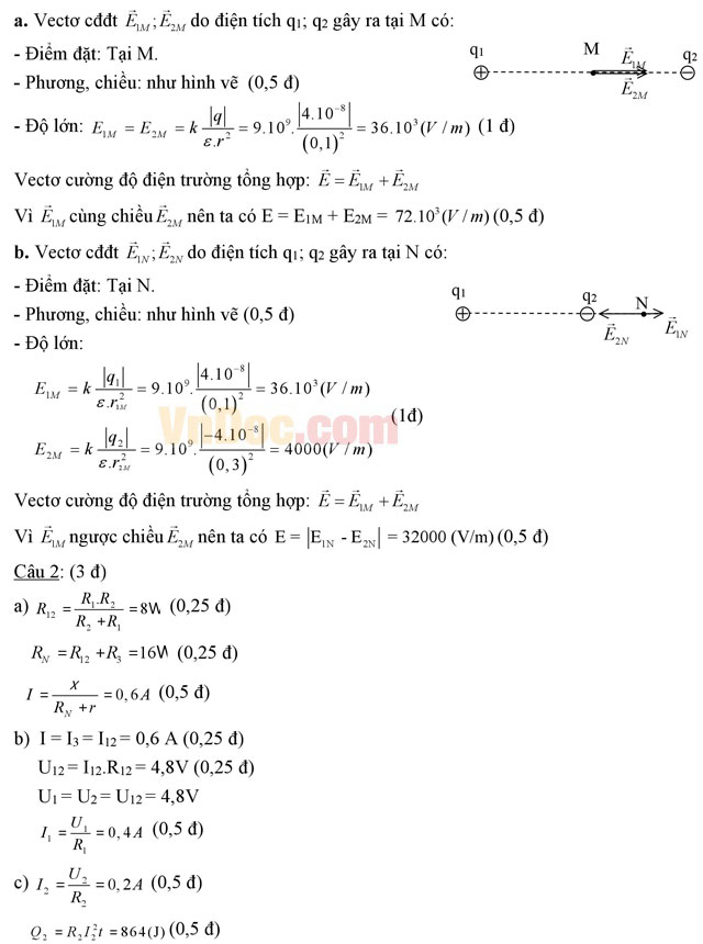
Câu 1: Hai điện tích điểm q1 = 4.10-8C và q2 = -4.10-8C nằm cố định tại hai điểm A và B cách nhau 20 cm trong không khí. Xác định vec tơ cường độ điện trường E tại:
a) điểm M là trung điểm của AB.
b) điểm N cách A 10cm, cách B 30 cm.
Câu 2: Cho mạch điện như hình vẽ.

E = 12 V; r = 4Ω; R1 = 12Ω; R2 = 24Ω; R3 = 8Ω. Tính
a) Cường độ dòng điện trong toàn mạch.
b) Cường độ dòng điện qua R1 và R3
c) Nhiệt lượng tỏa ra trên R2 trong thời gian 15 phút.
Đề thi giữa học kì 1 môn Vật lý lớp 11
A. Phần Trắc nghiệm (mỗi câu 0,25 điểm)
|
1B |
2B |
3D |
4C |
5B |
6D |
7C |
8D |
9D |
10B |
11A |
12A |
B. Phần tự luận
Câu 1: (4 đ)
