Bài tập Toán nâng cao lớp 3: Các số trong phạm vi 1000 phần 1
Bồi dưỡng học sinh giỏi Toán lớp 3: Các số trong phạm vi 1000 phần 1 bao gồm chi tiết các dạng toán có đáp án giúp các em học sinh ôn tập, củng cố kỹ năng giải Toán nâng cao lớp 3, tự luyện tập các dạng bài tập chuẩn bị cho kỳ thi sắp tới môn Toán lớp 3 và thi học sinh giỏi lớp 3 đạt kết quả cao. Mời các em tham khảo chi tiết.
Để tiện trao đổi, chia sẻ kinh nghiệm về giảng dạy và học tập các môn học lớp 3, VnDoc mời các thầy cô giáo, các bậc phụ huynh và các bạn học sinh truy cập nhóm riêng dành cho lớp 3 sau: Nhóm Tài liệu học tập lớp 3. Rất mong nhận được sự ủng hộ của các thầy cô và các bạn.
Lưu ý: Nếu không tìm thấy nút Tải về bài viết này, bạn vui lòng kéo xuống cuối bài viết để tải về.
Bồi dưỡng học sinh giỏi Toán lớp 3: Các số trong phạm vi 1000 phần 1
A. Tóm tắt kiến thức về Các số trong phạm vi 1000
1. Cấu tạo số
- Kí hiệu abc là số tự nhiên có 3 chữ số (trong đó a≠ 0 và a, b, c là các chữ số)
- Trường hợp số tự nhiên có 3 chữ số ta có thể phân tích:

2. So sánh các số tự nhiên có ba chữ số
- Các số có 1 chữ số nhỏ hơn các số có 2 chữ số.
- Các số có 2 chữ số nhỏ hơn các số có 3 chữ số.
- Nếu hai số có số chữ số bằng nhau thì so sánh từng cặp chữ số ở cùng 1 hàng từ trái sang phải.
- Nếu hai chữ số có tất cả các cặp chữ số ở từng hàng đều bằng nhau thì hai số đó bằng nhau.
B. Bài tập về Các số trong phạm vi 1000
Bài 1. Hãy viết các số sau:
a) Tám trăm tám mươi ba đơn vị.
b) Tám trăm tám mươi tám đơn vị.
c) Ba trăm năm mươi tám đơn vị.
d) Một trăm hai mươi bảy đơn vị.
Bài 2:
a) Từ ba chữ số 3, 4, 5 hãy viết tất cả các số có ba chữ số khác nhau ( mỗi chữ số không lặp lại ). Có bao nhiêu số như thế?
b) Cũng hỏi như vậy với ba chữ số 3, 0, 5.
Bài 3. Phép so sánh nào dưới đây sai?
a) 475 < 475.
b) 236 > 263.
c) 964 > 946.
Bài 4.
Hằng đang nghĩ tới một số có ba chữ số, biết rằng số lớn nhất có hai chữ số kém số đó 59 đơn vị. Tìm số Hằng đang nghĩ.
Bài 5.
Viết thêm chữ số 3 vào bên phải một số có hai chữ số, ta được số lớn hơn số phải tìm 273 đơn vị. Tìm số đó.
Bài 6.
Tích của hai số là 645. Tìm thừa số thứ nhất, biết rằng thêm 5 đơn vị vào thừa số thứ hai thì tích mới sẽ là 860.
Bài 7.
Tìm một số, biết rằng số đó lớn hơn số lớn nhất có ba chữ só khác nhau là 9 đơn vị.
Bài 8. Các biểu thức dưới đây, biểu thức nào đúng, biểu thức nào sai?
a) 125 + 346 > 215 + 463.
b) 212 + 460 < 122 + 406.
c) 320 – 230 = 230 + 90.
d) 685 + 132 > 917 – 423.
Bài 9
Một cửa hàng bán được 360kg gạo, sau đó nhập về 270kg thì tổng số gạo cửa hàng có là 500kg. Hỏi lúc đầu cửa hàng có bao nhiêu ki-lô-gam gạo?
Bài 10.
Tìm x, biết x + 320 = 525.
C. Đáp án Bài tập về Các số trong phạm vi 1000
Bài 1.
a) Tám trăm tám mươi ba đơn vị: 833
b) Tám trăm ba mươi tám đơn vị: 838.
c) Ba trăm năm mươi tám đơn vị: 358.
d) Một trăm hai mươi bảy đơn vị: 127.
Bài 2.
a) Các số có ba chữ số khác nhau được lập từ 3, 4, 5 là: 345, 354, 435, 453, 534, 543.
Có sáu số như vậy.
b) Tương tự ta cũng có các số có 3 chữ số khác nhau được lập từ ba chữ số 3, 0, 5 là: 305, 350, 503, 530.
Do số 0 không thể đứng đầu nên chỉ lập được 4 số như vậy.
Bài 3.
a) Sai.
b) Sai.
c) Đúng.
Bài 4.
Số lớn nhất có hai chữ số là: 99.
Số mà Hằng nghĩ là: 99 + 59 = 158
Đáp số: 158.
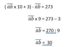
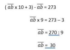
Bài 5. Gọi số phải tìm là ab. Theo đề bài ta có:

Vậy số đó là 30. Thử lại ta có: 303 – 30 = 273
Đáp số: 30.
Bài 6
Gọi số thứ nhất là a, số thứ hai là b. Theo đề bài ta có:
a x b = 645
a x (b + 5) = 860.
a x 5 = 860 – 645 = 215
a = 43
b = 645 : 43 = 15
Đáp số: Số thứ nhất là 43, số thứ hai là 15.
Bài 7.
Số lớn nhất có ba chữ số là khác nhau là số 987.
Số phải tìm là 987 + 9 = 996.
Đáp số: 996.
Bài 8.
a) 125 + 346 = 471
215 + 436 = 651
Vì vậy 125 + 346 > 215 + 436 là sai.
b) 212 + 460 = 672
122 + 406 = 528
Vì vậy 212 + 460 < 122 + 406 là sai
c) 320 – 230 = 90
230 + 90 = 320
Vì vậy 212 + 460 < 122 + 406
d) 685 + 132 = 817
917 – 423 = 494
Vì vậy 685 + 132 > 917 – 423 là đúng.
Bài 9
Đáp số: 590kg gạo.
Bài 10
x = 205.
……………………………………………………………………………….
Các bài tập ở nhà khác
- Đề cương ôn tập ở nhà lớp 3 môn Toán - Nghỉ do dịch Corona
- Đề cương ôn tập ở nhà lớp 3 môn Tiếng Việt - Nghỉ do dịch Corona
- Bộ phiếu bài tập ôn ở nhà Tiếng Việt lớp 3 - Nghỉ dịch Covid-19 (từ 16/3 đến 21/3)
- Bộ phiếu bài tập ôn ở nhà Toán lớp 3 - Nghỉ dịch Covid-19 (từ 16/3 đến 21/3)
Bộ phiếu bài tập ôn ở nhà lớp 3 - Nghỉ dịch Covid-19 (từ 16/3 đến 21/3) - Bộ phiếu bài tập ôn ở nhà lớp 3 - Nghỉ dịch Covid-19 (từ 09/3 đến 15/3)
- Phiếu bài tập tự ôn ở nhà môn Toán lớp 3 - Nghỉ do dịch Corona (cập nhật tháng 3)
- Bộ đề trắc nghiệm Toán lớp 3 - Ôn tập nghỉ dịch Covid-19 (Tuần từ 9/3 - 14/3)
- Bộ phiếu bài tập môn Toán lớp 3 - Nghỉ dịch Covid-19 (từ 09/3 đến 15/3)
- Bộ phiếu bài tập ôn ở nhà môn Tiếng Việt lớp 3 - Nghỉ dịch Covid-19 (từ 09/3 đến 15/3)
- Bộ phiếu ôn tập ở nhà lớp 3 (06 phiếu) - Nghỉ dịch Covid-19
- Tổng hợp bài tập tiếng Anh lớp 3 trong thời gian nghỉ dịch Corona
- Bộ đề ôn tập ở nhà Tiếng Việt lớp 3 - Nghỉ dịch Corona (từ 02/03 - 07/03)
- Bộ đề ôn tập ở nhà Toán lớp 3 - Nghỉ dịch Corona (từ 02/03 - 07/03)
- Bộ đề ôn tập ở nhà lớp 3 - Nghỉ dịch Corona (từ 02/03 - 07/03)
- Bài ôn tập ở nhà trong thời gian nghỉ dịch Corona các lớp Tiểu học
- Bài tập ở nhà trong thời gian nghỉ phòng chống dịch bệnh lớp 3
- Bài ôn tập ở nhà nghỉ phòng chống dịch bệnh môn Tiếng Việt lớp 3
- Phiếu bài tập tự ôn ở nhà môn Tiếng Việt lớp 3 - Nghỉ do dịch Corona
- Phiếu bài tập tự ôn ở nhà môn Toán lớp 3 - Nghỉ do dịch Corona
Đây là những bài tập nâng cao tương đối khó. Vì thế mà Các thầy cô và phụ huynh nên khích lệ, động viên các em học thật tốt, điều này rất tốt cho việc hỗ trợ các em trở thành một học sinh khá, giỏi, khiến các em cảm thấy thoải mái và dễ tiếp thu môn học hơn nhiều.
Như vậy, VnDoc.com đã gửi tới các bạn Bài tập Toán nâng cao lớp 3: Các số trong phạm vi 1000 phần 1. Ngoài Bài ôn tập trên, các em học sinh có thể tham khảo môn Toán lớp 3 nâng cao và bài tập môn Toán lớp 3 đầy đủ khác, để học tốt môn Toán hơn và chuẩn bị cho các bài thi đạt kết quả cao.