Đề kiểm tra giữa học kì I môn Toán lớp 12 trường THPT Nguyễn Đình Chiểu năm 2014 - 2015
Đề kiểm tra giữa học kì I môn Toán lớp 12
Đề kiểm tra giữa học kì 1 môn Toán lớp 12 năm học 2014 - 2015 trường THPT Nguyễn Đình Chiểu, Tiền Giang là đề thi giữa kì I lớp 12 được VnDoc.com sưu tầm và đăng tải. Đề thi môn Toán có đáp án dành cho các bạn tham khảo, ôn tập, hệ thống kiến thức, ôn luyện chuẩn bị cho kì thi học kì 1 môn Toán sắp tới hiệu quả nhất. Mời các bạn tham khảo.
Đề kiểm tra giữa học kì 1 môn Vật lý lớp 12 năm học 2015 - 2016 trường THPT Thống Nhất A, Đồng Nai
Đề kiểm tra giữa học kì 1 môn Toán lớp 12 năm học 2015 - 2016 trường THPT Thống Nhất A, Đồng Nai
SỞ GD&ĐT TIỀN GIANG
TRƯỜNG THPT NGUYỄN ĐÌNH CHIỂU
KIỂM TRA CHẤT LƯỢNG GIỮA HỌC KÌ I
MÔN: TOÁN – LỚP 12
Thời gian làm bài 90 phút (không kể thời gian giao đề)
I. PHẦN CHUNG CHO TẤT CẢ THÍ SINH (7,0 điểm)
Bài 1 (3, 0 điểm)
Cho hàm số y= f(x) = x4/2 – 4x2 + 4(C)
a) Khảo sát sự biến thiên và vẽ đồ thị (C) của hàm số đã cho .
b) Biện luận theo a số nghiệm của phương trình x4 – 8x2 – a = 0.
Bài 2 (2,0 điểm)
Cho hình chóp S.ABCD có đáy ABCD là hình vuông, AB = 2a, SA vuông góc với mặt phẳng (ABCD), góc hợp bởi SB và mặt phẳng (ABCD) là 45o, M, N, I lần lượt là trung điểm của SD, CD, AB.
a) Tính thể tích khối chóp S.ABND.
b) Tính thể tích khối chóp I.SCNM .
Bài 3 (2,0 điểm)
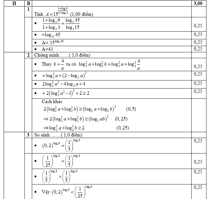
Tính A = log324 theo a biết a = log23
Không sử dụng máy tính cầm tay. Tính

PHẦN RIÊNG (3,0 điểm)
Học sinh chọn một trong hai phần dưới đây để làm bài ( Phần A hoặc B) .
A.Theo chương trình Chuẩn:
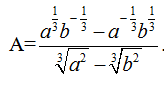
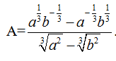
1. Không sử dụng máy tính cầm tay. Tính A=
2. Cho a+b=2. Chứng minh:
![]()
Cho a và b là các số thực dương a ≠ b. Rút gọn

B .Theo chương trình Nâng cao:
1. Không sử dụng máy tính cầm tay. Tính

2. Cho a > 0, b > 0, ab=4 . Chứng minh:
![]()
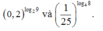
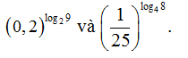
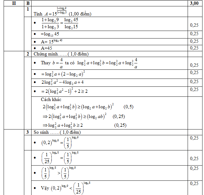
Không sử dụng máy tính cầm tay. So sánh hai số

ĐÁP ÁN ĐỀ THI GIỮA HỌC KÌ 1 MÔN TOÁN LỚP 12
Bài 1:
a) Khảo sát sự biến thiên và vẽ đồ thị (1) của hàm số (2,00 điểm)
TXĐ: D = R (0,25đ)
Sự biến thiên : y'= 2x3 – 8x, y' = 0 ⇔ x = 0, x = 2 , x= -2 (0,25đ)
x = 0 ⇒ y = 4, x =± 2 ⇒ y = -4 (0,25đ)
lim y = + ∞ (0,25đ)
x→± ∞
Bảng biến thiên: (0,25đ)

Hàm số nghịch biến trên các khoảng (-¥;-2),(0;2) đồng biến trên các khoảng (-2 ;0) ,(2 ;+¥) , hàm số đạt cực tiểu tại x = ±2, ycr = -4, hàm số đạt cực đại tại x =0, yCD = 4. (0,25đ)
Đồ thị (1) (0,5đ)

b) Biện luận theo a số nghiệm của phương trình (1,00đ)
Viết lại phương trình
x4/ 2- 4x2 +4 = a/2 + 4 (1)
Phương trình (1) là phương trình hoành độ giao điểm của (C) và đường thẳng d (0,25đ)
Y= a/2 +4
(d cùng phương trục hoành), số nghiệm của phương trình là số điểm chung của (C) và d (0,25đ)
Lập luận đúng số nghiệm theo các giá trị của a. (Chú ý nếu lập luận sai một trường hợp trừ 0,25, nếu sai 2 trường hợp cho điểm 0,00

