Đề kiểm tra giữa học kì 1 môn Toán lớp 12 năm học 2015 - 2016 trường THPT Thống Nhất A, Đồng Nai
Đề kiểm tra giữa học kì 1 môn Toán lớp 12
Đề kiểm tra giữa học kì 1 môn Toán lớp 12 năm học 2015 - 2016 trường THPT Thống Nhất A, Đồng Nai là đề thi giữa kì I lớp 12 được VnDoc.com sưu tầm và đăng tải. Đề thi môn Toán có đáp án dành cho các bạn tham khảo, ôn tập, hệ thống kiến thức, ôn luyện chuẩn bị cho kì thi học kì 1 môn Toán sắp tới hiệu quả nhất. Mời các bạn tham khảo.
Đề kiểm tra giữa học kì 1 môn Ngữ văn lớp 12 năm học 2015 - 2016 trường THPT Thống Nhất A, Đồng Nai
Đề kiểm tra học kỳ I lớp 12 năm 2012 - 2013, THPT Lê Thánh Tông tỉnh Gia Lai
Đề kiểm tra giữa học kì 1 môn Toán lớp 12 năm học 2011 - 2012 tỉnh Bắc Giang
THPT Thống Nhất A
ĐỀ THI GIỮA HỌC KỲ I NĂM HỌC 2015 – 2016
MÔN: TOÁN 12
(Thời gian: 45 phút)
Đề bài:
Cho hình chóp S.ABCD có đáy ABCD là hình vuông cạnh a, cạnh bên SA vuông góc với mp(ABCD), cạnh SC nghiêng với đáy góc 450:
- Tính thể tích khối chóp S.ABCD.
- Tính tan góc giữa (SBD) và (ABCD).
- Tính khoảng cách từ A đến mp(SBD).
- Tính khoảng cách giữa SA và DC.
Đáp án đề kiểm tra giữa học kì 1 môn Toán lớp 12
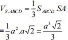
Câu 1: Tính thể tích khối chóp S.ABCD. (5 điểm)
Hình vẽ

(Sai mỗi đường khuất trừ 0.25 đ)
SA ┴ (ABCD) → AC là hình chiếu của SC lên (ABCD)
→ góc giữa SC và (ABCD) là góc giữa SC và AC: góc SCA = 450
Tính được: SA = a√2

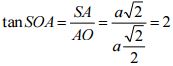
Câu 2: Tính tan góc giữa (SBD) và (ABCD). (2 điểm)
Gọi O là giao điểm của AC và BD (Hoặc có trên hình vẽ)
Ta có AO ┴ BD (T/c hình vuông)
SO ┴ BD (Có giải thích)
Suy ra góc SOA là góc giữa (SBD) và (ABCD).

Ghi chú: Không yêu cầu học sinh quá chặt chẽ về lập luận, nhưng nếu thiếu quá, tùy mức độ thầy cô đánh giá mà có mức trừ phù hợp.
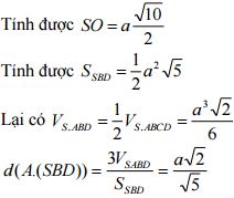
Câu 3: Tính khoảng cách từ A đến mp(SBD) (2 điểm)

Cách 2:
- Chứng minh (SAC) vuông góc với (SBD) theo giao tuyến SO
- Xác định khoảng cách
- Chọn công thức tính toán
- Đáp số
Câu 4: Tính khoảng cách giữa SA và DC. (1 điểm)
- Chỉ ra AD là đoạn vuông góc chung
- Khoảng cách: AD = a