Đề kiểm tra giữa học kì 1 môn Toán lớp 12 năm học 2011 - 2012 tỉnh Bắc Giang
Đề kiểm tra giữa học kì 1 môn Toán lớp 12
Đề kiểm tra giữa học kì 1 môn Toán lớp 12 năm học 2011 - 2012 tỉnh Bắc Giang là đề thi học kì I lớp 12 có đáp án dành cho các bạn tham khảo, hệ thống kiến thức đã học, ôn luyện chuẩn bị cho kì thi giữa kì và cuối học kì 1 môn Toán sắp tới. Mời các bạn tham khảo.
Đề kiểm tra học kỳ I lớp 12 năm 2012 - 2013, THPT Lê Thánh Tông tỉnh Gia Lai
Đề kiểm tra học kỳ I lớp 12 năm học 2014-2015 tỉnh Vĩnh Phúc
|
SỞ GIÁO DỤC VÀ ĐÀO TẠO BẮC GIANG
|
ĐỀ KIỂM TRA GIỮA HỌC KÌ I NĂM HỌC 2011-2012 MÔN TOÁN LỚP 12 Thời gian làm bài: 90 phút |
Câu I. (4 điểm)
Cho hàm số y = 4x3 - 12x2 + (2m + 1)x - m, (1) ( là tham số)
1. Với m = 4, hàm số (1) trở thành y = 4x3 - 12x2 + 9x - 1 (2)
a) Khảo sát sự biến thiên và vẽ đồ thị hàm số (2).
b) Viết phương trình tiếp tuyến của đồ thị hàm số (2), biết tiếp tuyến đi qua điểm M(2; 1).
2. Tìm tham số m để đường thẳng dm: y = mx - 4 cắt đồ thị hàm số (1) tại ba điểm phân biệt.
Câu II. (2 điểm)
1. Tìm giá trị lớn nhất, nhỏ nhất của hàm số y = -x3 + 3x2 - 1 trên đoạn [-1; 1].
2. Tính giá trị của biểu thức
.
Câu III. (3 điểm)
Cho hình chóp S.ABC có đáy ABC là tam giác vuông tại B, SB = 2a√3, BA = 3a, AC = 5a, SC = 2a và
. Tính:
1. Góc tạo bởi hai đường thẳng SB và BC.
2. Thể tích của khối chóp S.ABC.
3. Khoảng cách từ điểm B đến mặt phẳng (SAC).
Câu IV. (1 điểm)
Tìm m để bất phương trình sau vô nghiệm: ![]()
Đáp án đề kiểm tra giữa học kì 1 môn Toán lớp 12
Câu I. (4 điểm)
1.a) (2 điểm)
* Tập xác định: D = R
* Sự biến thiên
+ ![]()
+ Ta có y' = 12x2 - 24x + 9; y' = 0 ↔ x = 1/2 hoặc x = 3/2
+ Bảng biến thiên

+ Hàm số đồng biến trên các khoảng (-∞; 1/2) và (3/2; +∞), nghịch biến trên khoảng (1/2; 3/2).
+ Hàm số đạt cực đại tại x = 1/2, yCD = 1; đạt cực tiểu tại x = 3/2, yCT = -1
+) Vẽ đồ thị đúng
b) (1 điểm)
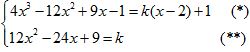
+ Gọi d là đường thẳng đi qua điểm M(2; 1) và có hệ số góc k. Phương trình của d: y = k(x - 2) + 1
+ d tiếp xúc với đồ thị hàm số (2) khi và chỉ khi hệ phương trình sau có nghiệm:

Từ (*) và (**) dẫn đến (x - 2)2(2x - 1) = 0 ↔ x = 2 hoặc x = 1/2
Với x = 2 → k =9. Phương trình tiếp tuyến: y = 9x - 17
Với x = 1/2 → k = 0. Phương trình tiếp tuyến: y = 1
2) (1 điểm)
Xét phương trình: 4x3 - 12x2 + (2m + 1)x + 3 - m = mx - 4 ↔ 4x3 - 12x2 + mx + x + 7 - m = 0
↔ (x - 1)(4x2 - 8x + m - 7) = 0 ↔ x = 1 hoặc 4x2 - 8x + m - 7 = 0 (*)
Đường thẳng dm cắt đồ thị hàm số (1) tại 3 điểm phân biệt khi phương trình (*) có hai nghiệm phân biệt khác 1.
Điều kiện ![]()