Đề thi - Đáp án thi tuyển sinh lớp 10 THPT tỉnh Thanh Hóa
Đề thi tuyển sinh lớp 10 môn Toán
VnDoc.com xin giới thiệu tới bạn đọc Đề thi - Đáp án kỳ thi thi tuyển sinh lớp 10 THPT tỉnh Thanh Hóa năm học 2014 - 2015 môn Toán, có đáp án kèm theo. Hi vọng tài liệu này giúp các bạn củng cố lại kiến thức, luyện thi vào lớp 10 hiệu quả. Mời các bạn cùng tham khảo.
|
SỞ GIÁO DỤC VÀ ĐÀO TẠO THANH HÓA |
KỲ THI TUYỂN SINH LỚP 10 THPT |
Câu 1: (2,0 điểm)
1. Giải các phương trình:
a. x – 2 = 0
b. x2 – 6x + 5 = 0
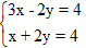
2. Giải hệ phương trình: ![]()
Câu 2: (2,0 điểm)
Cho biểu thức:
với x > 0; x # 1.
1. Rút gọn A.
2. Tính giá trị của biểu thức A khi x = 4 + 2√3
Câu 3: (2,0 điểm)
Trong mặt phẳng tọa độ Oxy cho đường thẳng (d): y = mx - 3 tham số m và Parabol (P): y = x2.
1. Tìm m để đường thẳng (d) đi qua điểm A(1; 0).
2. Tìm m để đường thẳng (d) cắt Parabol (P) tại hai điểm phân biệt có hoàng độ lần lượt là x1, x2 thỏa mãn |x1 - x2| = 2.
Câu 4: (3,0 điểm)
Cho đường tròn tâm O đường kính AB = 2R. Gọi C là trung điểm của OA; qua C kẻ đường thẳng vuông góc với OA cắt đường tròn đó tại hai điểm phân biệt M và N. Trên cung nhỏ BM lấy điểm K ( K khác B và M), trên tia KN lấy điểm I sao cho KI = KM. Gọi H là giao điểm của AK và MN. Chứng minh rằng:
1. Tứ giác BCHK là tứ giác nội tiếp.
2. AK.AH = R2
3. NI = BK
Câu 5: (1,0 điểm)
Cho các số thực dương x, y, z thỏa mãn xyz = 1.
Tìm giá trị lớn nhất của biểu thức: ![]()
Đáp án đề thi tuyển sinh lớp 10 môn Toán

