Đề thi tuyển sinh lớp 10 THPT năm học 2013 môn Toán - tỉnh Thanh Hóa
Để chuẩn bị cho kỳ thi vào cấp 3 sắp tới, Vndoc.com xin gửi đến các bạn: Đề thi tuyển sinh lớp 10 THPT năm học 2013 môn Toán - tỉnh Thanh Hóa.
Đề thi tuyển sinh lớp 10 môn Toán:
|
SỞ GIÁO DỤC VÀ ĐÀO TẠO ĐỀ THI CHÍNH THỨC |
ĐỀ THI TUYỂN SINH LỚP 10 THPT NĂM HỌC 2012-2013 Môn thi: Toán Thời gian: 120 phút không kể thời gian giao đề Ngày thi 29 tháng 6 năm 2012 |
Bài 1 (2 điểm)
1. Giải các phương trình sau: a) x - 1 = 0 b) x2 - 3x + 2 = 0
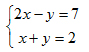
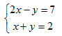
2. Giải hệ phương trình: 
Bài 2 (2 điểm). Cho biểu thức

1. Tìm điều kiện xác định và rút gọn biểu thức A
2. Tìm giá trị của a, biết A < 1/3
Bài 3 (2 điểm)
1. Cho đường thẳng (d): y = ax + b. Tìm a, b để đường thẳng (d) đi qua điểm A(-1; 3) và song song với đường thẳng (d'): y = 5x + 3
2. Cho phương trình ax2 + 3(a + 1)x + 2a + 4 = 0 (x là ẩn số). Tìm a để phương trình đã cho có hai nghiệm phân biệt x1, x2 thỏa mãn x12 + x22 = 4
Bài 4 (3 điểm). Cho tam giác đều ABC có đường cao AH. Trên cạnh BC lấy điểm M bất kỳ (M không trùng B; C; H). Từ M kẻ MP; MQ lần lượt vuông góc với các cạnh AB; AC (P thuộc AB; Q thuộc AC)
1. Chứng minh tứ giác APMQ nội tiếp đường tròn
2. Gọi O là tâm đường tròn ngoại tiếp tứ giác APMQ. Chứng minh OH vuông góc PQ
3. Chứng minh rằng: MP + MQ = AH
Bài 5 (1 điểm). Cho hai số thực a;b thay đổi thỏa mãn điều kiện a + b ≥ 1 và a > 0. Tìm giá trị nhỏ nhất của biểu thức
