Đề thi học kì 2 môn Toán lớp 4 trường Tiểu học Lê Văn Tám năm 2016 - 2017
Đề thi học kì 2 môn Toán lớp 4 có đáp án
Đề thi học kì 2 môn Toán lớp 4 trường tiểu học Lê Văn Tám năm học 2016 - 2107 là đề thi định kì cuối học kì 2 lớp 4 với các dạng bài tập trọng tâm chuẩn theo các mức độ Thông tư 22 giúp các em học sinh củng cố kiến thức hệ thống lại các dạng bài tập ôn thi cuối học kì 2 đạt kết quả cao. Mời các em cùng tham khảo tải về trọn bộ bảng ma trận đề thi.
Bộ đề thi học kì 2 môn Toán lớp 4 năm học 2016 - 2017 theo Thông tư 22
Đề thi học kì 2 môn Toán lớp 4 trường Tiểu học số 1 Ân Đức, Bình Định năm 2016 - 2017
Đề thi học kì 2 môn Toán lớp 4 năm học 2016 - 2017 theo Thông tư 22 - Đề số 2
TRƯỜNG TIỂU HỌC LÊ VĂN TÁM
ĐỀ KIỂM TRA ĐỊNH KÌ CUỐI HỌC KÌ II
NĂM HỌC 2016-2017- LỚP 4A3
MÔN: TOÁN
Thời gian: 40 phút ( không kể thời gian phát đề )
Họ và tên: ..................................................Lớp.........
Ngày kiểm tra: ngày .......tháng .......năm 2017
A. Phần trắc nghiệm (4 điểm)
Câu 1 (0,5 điểm): Điền vào chỗ chấm: (M1)
a. Phân số 4/9 có tử số là ....., mẫu số là .....
b. Phân số 3/10, 3 là .............., 10 là .................
* Hãy khoanh vào chữ cái trước câu trả lời đúng:

Câu 4 (0,5 điểm ): 1 giờ 20 phút = ....... phút (M1)
A. 80 B. 100 C. 120 D. 130
Câu 5 (0,5 điểm): 500 tạ = ...... tấn (M1)
A. 5 B. 10 C. 50 D. 500
Câu 6 (0,5 điểm): Trong các phân số sau, phân số lớn hơn 1 là: (M1)
![]()
Câu 7 (1 điểm): Viết kết quả vào chỗ chấm (M2)
a) Hình bình hành có độ dài đáy là 18cm, chiều cao bằng một nửa độ dài đáy.
Diện tích hình bình hành là: ...............
b) Một hình chữ nhật có chiều rộng là 12cm và chiều dài là 2dm.
Chu vi hình chữ nhật là: ............
B. Phần tự luận (6 điểm)
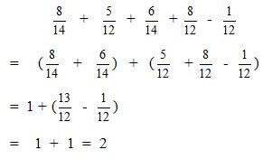
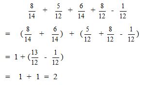
Câu 8 (2 điểm): Tính (M2)

Câu 9 (1 điểm): Tính giá trị của biểu thức theo cách thuận tiện nhất. (M3)

Câu 10 (2 điểm): (M3)
Hai thửa ruộng thu hoạch được 32 tạ thóc. Số thóc thu hoạch được ở thửa ruộng thứ nhất bằng 3/5 số thóc thu hoạch ở thửa ruộng thứ hai. Hỏi mỗi thửa ruộng thu hoạch được bao nhiêu tạ thóc?
Câu 11 (1 điểm): (M4)
Hãy viết tất cả các phân số nhỏ hơn 1 mà tích của tử số và mẫu số bằng 36?
ĐÁP ÁN VÀ THANG ĐIỂM
NĂM HỌC: 2016-2017 - LỚP 4ª3
MÔN: TOÁN
Câu 1 (0,5 điểm): Điền vào chỗ chấm: (M1)
a. Phân số 4/9 có tử số là 4, mẫu số là 9
b. Phân số 3/10, 3 là tử số, 10 là mẫu số
Câu 2 (0,5 điểm): Khoanh vào A
Câu 3 (0,5 điểm): Khoanh vào D
Câu 4 (0,5 điểm): Khoanh vào A
Câu 5 (0,5 điểm): Khoanh vào C
Câu 6 (0,5 điểm): Khoanh vào B
Câu 7 (1 điểm): (M2)
a) Diện tích hình bình hành là: 162 (cm2)
b) Chu vi hình chữ nhật là: 64 cm
Câu 8 (2 điểm): Mỗi phép tính đúng đạt 0,5 điểm.

Câu 9 (1 điểm): Tính giá trị của biểu thức theo cách thuận tiện nhất.

Câu 10 (2 điểm): Bài giải
Ta có sơ đồ:

Theo sơ đồ, tổng số phần bằng nhau là: (0,25 điểm)
3 + 5 = 8 (phần)
Số thóc thu hoạch được ở thửa ruộng thứ nhất là: (0,25 điểm)
32 : 8 x 3 = 12 (tạ) (0,25 điểm)
Số thóc thu hoạch được ở thửa ruộng thứ hai là: (0,25 điểm)
32 : 8 x 5 = 20 (tạ) (0,25 điểm)
Hoặc : 32 - 12 = 20 (tạ)
Đáp số: Thửa ruộng thứ nhất: 12 tạ
Thửa ruộng thứ nhất: 20 tạ (0,25 điểm)
(HS có cách giải khác mà có kết quả đúng vẫn ghi điểm tối đa)
Câu 11 (1 điểm):
Ta có các cặp số có tích bằng 36 là:
1 x 36 = 36; 2 x 18 = 36; 3 x 12 = 36; 4 x 9 = 36.
Vậy các phân số nhỏ hơn 1 mà có tích bằng 36 là: 1/36 ; 2/18; 3/12; 4/9