Đề thi học kì 2 môn Vật lý lớp 11 trường THPT Đa Phúc, Hà Nội năm 2015
Đề thi học kì 2 môn Vật lý lớp 11 có đáp án
Đề thi học kì 2 môn Vật lý lớp 11 trường THPT Đa Phúc, Hà Nội năm 2015 gồm 6 câu trắc nghiệm và 3 câu hỏi tự luận, giúp các bạn ôn tập và củng cố kiến thức môn Lý hiệu quả, từ đó chuẩn bị tốt nhất cho bài thi cuối năm sắp tới.
Phương pháp giải và các bài toán về cơ học vật rắn
Bài tập Vật lý: Mắt và các dụng cụ quang học
Các chuyên đề xếp loại A tại trại hè Hùng Vương lần thứ XI năm 2015
|
Trường THPT Đa Phúc Năm học: 2014 - 2015 |
KIỂM TRA HỌC KÌ II Môn: Vật lý - Lớp 11 Thời gian: 45 phút (Lưu ý: HS phải ghi mã đề thi vào bài làm) |
Phần I. Trắc nghiệm (3,0 điểm)
Câu 1. Chọn câu sai. Ảnh của một vật qua thấu kính phân kì luôn luôn:
A. Là ảnh ảo. B. Cùng chiều với vật. C. Là ảnh thật. D. Nhỏ hơn vật.
Câu 2. Một học sinh kết luận như sau về thấu kính. Tìm câu đúng.
A. Thấu kính phân kì luôn tạo ảnh ảo nhỏ hơn vật thật.
B. Ảnh của vật tạo bởi hai loại thấu kính luôn có độ lớn khác với vật.
C. Ảnh và vật cùng tính chất (thật; ảo) thì cùng chiều và ngược lại.
D. Thấu kính hội tụ luôn tạo chùm tia ló hội tụ.
Câu 3. Có ba môi trường (1), (2) và (3). Với cùng một góc tới, nếu ánh sáng đi từ (1) vào (2) thì góc khúc xạ là 300, nếu ánh sáng đi từ (1) vào (3) thì góc khúc xạ là 450. Góc tới giới hạn phản xạ toàn phần giữa (2) và (3) là:
A. 500. B. 600. C. 300. D. 450.
Câu 4. Đơn vị của từ thông là:
A. Tesla (T). B. Vêbe (Wb). C. Henri (H) D. Culông (C).
Câu 5. Theo định luật khúc xạ ánh sáng, khi tia sáng truyền từ môi trường kém chiết quang sang môi trường chiết quang hơn thì:
A. Góc khúc xạ lớn hơn góc tới. B. Góc khúc xạ bằng góc tới.
C. Góc khúc xạ bằng hai lần góc tới. D. Góc khúc xạ nhỏ hơn góc tới.
Câu 6. Trong một mạch kín, dòng điện cảm ứng xuất hiện khi:
A. Từ thông qua mạch biến thiên theo thời gian.
B. Mạch điện được đặt trong một từ trường không đều.
C. Trong mạch có một nguồn điện.
D. Mạch điện được đặt trong một từ trường đều.
Phần II. Tự luận (7,0 điểm)
Bài 1. (1,5 điểm). Chiếu một tia sáng từ không khí vào một môi trường trong suốt có chiết suất n=1,732 ≈ dưới góc tới i = 600. Tính góc khúc xạ.Vẽ hình.
Bài 2. (2,5 điểm). Ống dây điện hình trụ có lõi chân không, chiều dài l = 0,2m, có N=1000 vòng, diện tích mỗi vòng S = 0,01m2.
a. Tính độ tự cảm L của ống dây.
b. Dòng điện qua cuộn cảm đó tăng đều từ 0 đến 5 A trong 0,1 s, tính độ lớn suất điện động tự cảm xuất hiện trong ống dây trong khoảng thời gian này
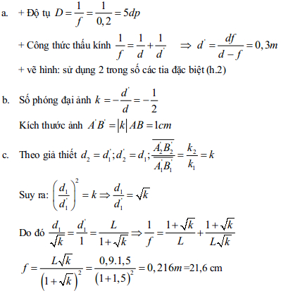
Bài 3. (3 điểm). Thấu kính hội tụ có tiêu cự f = 20 cm. Vật phẳng nhỏ AB = 2cm đặt trên trục chính, vuông góc với trục chính, cách thấu kính một khoảng 60cm ta thu được ảnh của vật trên màn M
a. Tính độ tụ của thấu kính, và xác định vị trí ảnh. Vẽ hình.
b. Xác định số phóng đại ảnh, kích thước ảnh.
c. Cố định vị trí vật và màn M, thay thấu kính hội tụ trên bằng thấu kính hội tụ có tiêu cự f', di chuyển thấu kính trong khoảng vật và màn M thì ta tìm được hai vị trí O1 và O2 của thấu kính tạo ảnh rõ nét của vật trên màn, ảnh này gấp 2,25 lần ảnh kia. Tính tiêu cự f' của thấu kính.
Đáp án đề thi học kì 2 môn Vật lý lớp 11
Phần I. Trắc nghiệm:
1. C 2. A 3. D 4. B 5. D 6. A
Phần II. Tự luận
Bài 1.(1,5đ)
Viết được công thức của định luật khúc xạ ánh sáng:

Vẽ hình

Bài 2. (2,5 đ)

Bài 3. (3,0 đ)
