Đề thi học kỳ 1 môn Toán lớp 11 năm học 2017 - 2018, trường THPT Phước Thạnh - Tiền Giang



VnDoc mời các bạn học sinh tham khảo Đề thi học kỳ 1 môn Toán lớp 11 năm học 2017 - 2018, trường THPT Phước Thạnh - Tiền Giang, tài liệu gồm 28 câu hỏi trắc nghiệm và 3 bài toán tự luận, thời gian làm bài 90 phút sẽ giúp các bạn học sinh giải bài tập Toán 11 nhanh và hiệu quả hơn.
Chi tiết đề thi học kỳ 1 môn Toán lớp 11
I. Phần trắc nghiệm (7,0 điểm)
Câu 1: Trong mặt phẳng Oxy ảnh A' của điểm A(-2;0) qua phép quay tâm O góc quay 900 có tọa độ là?
A. A'(2; 2)
B. A'(2;0)
C. A'(0; 2)
D. A'(0; -2)
Câu 2: Nghiệm của phương trình 3 sin x - cos x = 2 là:

Câu 3: Lớp 11A có 25 học sinh nam và 20 học sinh nữ. Hỏi có bao nhiêu cách chọn một học sinh làm lớp trưởng?
A. 25!+ 20! cách
B. 45! cách
C. 45 cách
D. 500 cách
Câu 4: Phương trình nào sau đây vô nghiệm?
A. cos x = - 3/4
B. tan (3x + /6) = -7
C. sin 3x = 5/3
D. cot 2x = 9/5
Câu 5: Tìm ảnh (C ') của đường tròn (C ) : x2 + y2 - 2x - 4 y +1 = 0 qua phép tịnh tiến theo vectơ v = (2; -5).
A. (C ') : ( x - 4)2 + ( y +1)2 = 20
B. (C ') : ( x + 3)2 + ( y - 3)2 = 4
C. (C ') : ( x +1)2 + ( y + 7)2 = 6
D. (C ') : ( x - 3)2 + ( y + 3)2 = 4
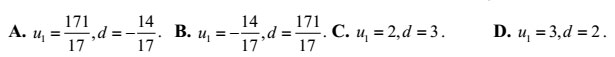
Câu 6: Tìm số hạng đầu và cộng sai của cấp số cộng biết

Câu 7: Cho hình chóp S.ABCD có đáy ABCD là hình bình hành tâm O. Gọi I, J lần lượt là trung điểm của SA và SC. Đường thẳng IJ song song với đường thẳng nào?
A. BC
B. AC
C. SO
D. BD
Câu 8: Cho dãy số (un ) với un = 2n +1. Tìm u5?
A. 11
B. 2
C. 1
D. 3
Câu 9: Gieo con súc sắc một lần. Tính xác suất để con súc sắc xuất hiện mặt chấm lẻ.
A. 1/2
B. 1/3
C. 2/3
D. 5/6
Câu 10: Có bao nhiêu cách chọn 5 học sinh từ 20 học sinh của lớp11A?
A. 1860480 cách
B. 120 cách
C. 15504 cách
D. 100 cách
Bộ đề thi học kì 1 môn Toán lớp 11 năm học 2016 - 2017
Đề kiểm tra học kỳ 1 môn Toán lớp 11 năm học 2017 - 2018, trường THPT Hoài Đức A, Hà Nội
Đề thi học kỳ 1 môn Toán lớp 11 năm học 2017 - 2018 Sở GD&ĐT Bắc Ninh
Đề thi học kỳ 1 môn Toán lớp 11 năm học 2017 - 2018 trường THPT Hoa Lư A, Ninh Bình
Đề thi học kỳ 1 môn Toán lớp 11 năm học 2017 - 2018 trường THPT Phan Bội Châu - Đăk Lăk
--------------------------------------------
Trên đây VnDoc.com đã giới thiệu tới bạn đọc tài liệu: Đề thi học kỳ 1 môn Toán lớp 11 năm học 2017 - 2018, trường THPT Phước Thạnh - Tiền Giang. VnDoc mời các bạn tham khảo tài liệu đề thi học kì 1 lớp 11, Thi thpt Quốc gia môn Sinh học, Thi thpt Quốc gia môn Hóa học, thi thpt Quốc gia môn Vật Lý mà VnDoc tổng hợp và đăng tải.