Bộ đề thi học kì 1 môn Toán lớp 11 năm học 2016 - 2017
Bộ đề thi học kì 1 môn Toán lớp 11
Bộ đề thi học kì 1 môn Toán lớp 11 năm học 2016 - 2017 được VnDoc.com sưu tầm và đăng tải là tài liệu tham khảo hữu ích dành cho các bạn học sinh lớp 11, giúp các bạn ôn tập và nâng cao kiến thức trong chương trình học lớp 11. Mời các bạn tham khảo.
Bộ đề thi học kì 1 môn Ngữ văn lớp 11 năm học 2016 - 2017
Đề số 1 - Đề thi học kì 1 môn Toán lớp 11 trường THPT Lý Thái Tổ, Bắc Ninh năm học 2016 - 2017
|
SỞ GD & ĐT BẮC NINH TRƯỜNG THPT LÝ THÁI TỔ |
ĐỀ THI KHẢO SÁT HỌC KỲ 1 NĂM 2016 - 2017 Môn: TOÁN, Khối 11. Thời gian: 120 phút, không kể thời gian phát đề. Ngày thi 23/12/2016 |
Câu 1 (2,0 điểm) Giải các phương trình sau:

Câu 2 (2,0 điểm)
- Trong cuộc thi giải toán qua mạng Internet (Violympic) cấp trường của trường THPT Lý Thái Tổ cho khối 10 và khối 11, có 6 học sinh khối 10 đạt giải trong đó có 3 học sinh nam, 3 học sinh nữ và 8 học sinh khối 11 đạt giải trong đó có 5 học sinh nam, 3 học sinh nữ. Hỏi có bao nhiêu cách chọn 4 học sinh đại diện lên tuyên dương và khen thưởng trong đó mỗi khối có 2 học sinh, đồng thời 4 học sinh được chọn phải có cả nam và nữ.
- Gọi S là tập hợp các số tự nhiên gồm 3 chữ số đôi một khác nhau được lập từ các chữ số 0, 1, 2, 3, 4, 5, 6. Chọn ngẫu nhiên từ tập S một số. Tính xác suất để số được chọn bắt đầu bởi chữ số 2.
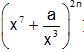
Câu 3 (1,0 điểm) Tìm giá trị a biết hệ số của số hạng chứa x10 trong khai triển của biểu thức:
bằng 13440 và n là số nguyên dương thỏa mãn: ![]()
Câu 4 (3,0 điểm) Cho hình chóp S.ABCD có đáy ABCD là hình bình hành. Gọi H, K lần lượt là trọng tâm tam giác SAB và ABC. Gọi (α) là mặt phẳng chứa HK và song song với SB.
- Xác định mặt phẳng (α) và chứng minh (α) song song (SBC).
- Xác định thiết diện hình chóp khi cắt bởi (α).
- Gọi M là giao điểm của SD và (α). Tìm giao điểm I của MK và mặt phẳng (SAC). Tính tỉ số
.
Câu 5 (1,0 điểm) Giải phương trình: ![]()
Câu 6 (1,0 điểm) Cho a, b, c là các số dương. Tìm giá trị lớn nhất của biểu thức:

Đáp án đề thi học kì 1 môn Toán lớp 11



Đề số 2 - Đề thi học kì 1 môn Toán lớp 11 trường THPT Hàn Thuyên, Bắc Ninh năm học 2016 - 2017





Đáp án đề thi học kì 1 môn Toán lớp 11
|
1 |
B |
11 |
C |
21 |
A |
31 |
B |
41 |
D |
|
2 |
D |
12 |
D |
22 |
C |
32 |
B |
42 |
A |
|
3 |
B |
13 |
A |
23 |
C |
33 |
B |
43 |
B |
|
4 |
C |
14 |
A |
24 |
D |
34 |
B |
44 |
C |
|
5 |
C |
15 |
D |
25 |
D |
35 |
A |
45 |
A |
|
6 |
D |
16 |
C |
26 |
A |
36 |
B |
46 |
A |
|
7 |
D |
17 |
B |
27 |
D |
37 |
D |
47 |
C |
|
8 |
D |
18 |
D |
28 |
B |
38 |
D |
48 |
A |
|
9 |
C |
19 |
C |
29 |
B |
39 |
B |
49 |
C |
|
10 |
A |
20 |
A |
30 |
C |
40 |
A |
50 |
D |
Mời các bạn tải trọn bộ đề thi và đáp án môn Toán về để tham khảo.