Đề thi học sinh giỏi cấp thành phố môn Tin học lớp 9 năm 2013 - 2014
|
UBND THÀNH PHỐ HUẾ |
KÌ THI CHỌN HỌC SINH GIỎI CẤP THÀNH PHỐ Thời gian làm bài: 120 phút, không kể thời gian giao đề |
Tạo Folder mang tên là số báo danh của thí sinh và lưu theo đường dẫn: D:\SBD_K9. Các file trong bài được đặt tên lần lượt là BAI1.PAS, BAI2.PAS, BAI3.PAS và lưu vào Folder vừa tạo.
Bài 1 (3 điểm):
Hai số tự nhiên n, m được gọi là nguyên tố tương đương nếu chúng có chung các ước số nguyên tố. Hãy viết chương trình nhập vào hai số n, m và kiểm tra chúng có là nguyên tố tương đương với nhau hay không.
Ví dụ: số 75 và số 15 là nguyên tố tương đương vì chúng có cùng các ước số nguyên tố là 3 và 5.
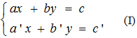
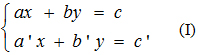
Bài 2 (3 điểm): Cho hệ phương trình bậc nhất hai ẩn:

Hãy viết chương trình giải hệ phương trình trên, đồng thời xác định vị trí tương đối của hai đường thẳng d: ax + by = c và d’ = a’x + b’y = c’ đã tạo nên hệ phương trình (I).
Bài 3 (4 điểm):
Cho hai xâu X, Y chứa các kí tự số từ 0 đến 9 và được biểu diễn như sau:
X = x1, x2, x3…xn; Y = y1, y2, y3…ym (n,m ). Hãy viết chương trình tạo ra xâu ST thoả mãn các điều kiện sau:
1. Gồm các kí tự số vừa có mặt ở xâu X, vừa có mặt ở xâu Y;
2. Các kí tự số trong xâu ST chỉ xuất hiện duy nhất một lần;
3. Giá trị xâu ST nhận được là một số đạt giá trị lớn nhất.
Dữ liệu vào cho bởi file INPUT.INP chứa giá trị xâu X và xâu Y, mỗi xâu nằm trên một dòng.
Dữ liệu ra chứa ở file OUTPUT.OUT là số lớn nhất nhận được.
Ví dụ: Xâu X= ‘19012304’; xâu Y= ‘034012’, kết quả là 43210.