Giao diện mới của VnDoc Pro: Dễ sử dụng hơn - chỉ tập trung vào lớp bạn quan tâm. Vui lòng chọn lớp mà bạn quan tâm: Lưu và trải nghiệm
Đóng
Điểm danh hàng ngày
  • Hôm nay +3
  • Ngày 2 +3
  • Ngày 3 +3
  • Ngày 4 +3
  • Ngày 5 +3
  • Ngày 6 +3
  • Ngày 7 +5
Bạn đã điểm danh Hôm nay và nhận 3 điểm!
Nhắn tin Zalo VNDOC để nhận tư vấn mua gói Thành viên hoặc tải tài liệu Hotline hỗ trợ: 0936 120 169

Đề thi học sinh giỏi lớp 12 THPT tỉnh Thanh Hóa năm 2013 - 2014

Lớp: Lớp 12
Dạng tài liệu: Đề thi HSG
Loại File: Word
Phân loại: Tài liệu Tính phí

Nhằm giúp các bạn chuẩn bị thật tốt kiến thức để làm bài thi đạt hiệu quả cao, Vndoc.com xin giới thiệu: Đề thi học sinh giỏi lớp 12 THPT tỉnh Thanh Hóa năm 2013 - 2014.

Đề thi học sinh giỏi môn Toán:

SỞ GIÁO DỤC VÀ ĐÀO TẠO
THANH HÓA

Trường THPT Như Thanh I

ĐỀ CHÍNH THỨC

KỲ THI CHỌN HỌC SINH GIỎI LỚP 12
NĂM HỌC: 2013 - 2014

MÔN THI: TOÁN
(Thời gian làm bài 180 phút, không kể thời gian giao đề)
Ngày thi: 30/9/2013


Câu I (4,0 điểm).

Cho hàm số y = x3 - 3x2mx4 - m có đồ thị (Cm), với m là tham số.

1) Khảo sát sự biến thiên và vẽ đồ thị của hàm số đã cho khi m=3.

2) Đường thẳng d: y = -x3 cắt một đường cong bất kì (C) trong các đường cong tại ba điểm phân biệt A, I, B (theo thứ tự). Tiếp tuyến tại A và tiếp tuyến tại B của (C) lần lượt cắt đường cong này tại điểm thứ hai là M, N. Tìm tất cả các giá trị của m để tứ giác AMBN là hình thoi.

Câu II (4,0 điểm).

1) Giải phương trình:
Đề thi học sinh giỏi lớp 12 THPT tỉnh Thanh Hóa năm 2013 - 2014

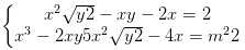
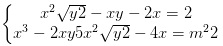
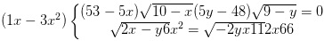
2) Giải hệ phương trình:
Đề thi học sinh giỏi lớp 12 THPT tỉnh Thanh Hóa năm 2013 - 2014

Câu III (4,0 điểm).

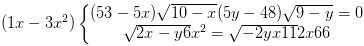
1) Tìm để hệ phương trình sau có nghiệm:
Đề thi học sinh giỏi lớp 12 THPT tỉnh Thanh Hóa năm 2013 - 2014

2) Tìm hệ số của x4 trong khai triển Đề thi học sinh giỏi lớp 12 THPT tỉnh Thanh Hóa năm 2013 - 2014.

Câu IV (6,0 điểm).

1) Trong mặt phẳng với hệ trục tọa độ Oxy, cho tam giác ABC trọng tâm G(1; 2). Phương trình đường tròn đi qua trung điểm của hai cạnh AB, AC và chân đường cao hạ từ đỉnh A đến cạnh BC là (x - 3)2(y2)2 = 25. Viết phương trình đường tròn ngoại tiếp tam giác ABC.

2) Cho hình chóp S.ABCD có đáy ABCD là hình chữ nhật, AB = 2a, tam giác SAB cân tại S và nằm trong mặt phẳng vuôn góc với mặt phẳng (ABCD). Gọi M là trung điểm của SD, mặt phẳng (ABM) vuông góc với mặt phẳng (SCD) và đường thẳng AM vuông góc với đường thẳng BD. Tính thể tích khối chóp SBCM và khoảng cách từ M đến mặt phẳng (SBC).

Câu V (2,0 điểm).

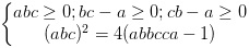
Cho là ba số dương thỏa mãn:
Đề thi học sinh giỏi lớp 12 THPT tỉnh Thanh Hóa năm 2013 - 2014

Tìm giá trị nhỏ nhất của biểu thức:
Đề thi học sinh giỏi lớp 12 THPT tỉnh Thanh Hóa năm 2013 - 2014

Chọn file muốn tải về:
Đóng Chỉ thành viên VnDoc PRO/PROPLUS tải được nội dung này!
Đóng
79.000 / tháng
Đặc quyền các gói Thành viên
PRO
Phổ biến nhất
PRO+
Tải tài liệu Cao cấp 1 Lớp
30 lượt tải tài liệu
Xem nội dung bài viết
Trải nghiệm Không quảng cáo
Làm bài trắc nghiệm không giới hạn
Mua cả năm Tiết kiệm tới 48%
10

Có thể bạn quan tâm

Xác thực tài khoản!

Theo Nghị định 147/2024/ND-CP, bạn cần xác thực tài khoản trước khi sử dụng tính năng này. Chúng tôi sẽ gửi mã xác thực qua SMS hoặc Zalo tới số điện thoại mà bạn nhập dưới đây:

Số điện thoại chưa đúng định dạng!
Số điện thoại này đã được xác thực!
Bạn có thể dùng Sđt này đăng nhập tại đây!
Lỗi gửi SMS, liên hệ Admin
Sắp xếp theo
🖼️

Thi học sinh giỏi lớp 12

Xem thêm
🖼️

Gợi ý cho bạn

Xem thêm