Đề thi học sinh giỏi môn Toán lớp 8 tỉnh Khánh Hòa năm học 2016 - 2017
Đề thi học sinh giỏi môn Toán lớp 8
Đề thi học sinh giỏi môn Toán lớp 8 tỉnh Khánh Hòa năm học 2016 - 2017 là đề kiểm tra nhằm đánh giá chất lượng học sinh giỏi lớp 8. Đề thi có đáp án đi kèm, là tài liệu tham khảo hay giúp các em ôn luyện và củng cố kiến thức, sẵn sàng cho kỳ thi học sinh giỏi lớp 8 THCS sắp tới.
7 bộ đề thi học sinh giỏi tỉnh toán lớp 8
Đề thi khảo sát học sinh giỏi môn Toán lớp 8 huyện Vũ Thư, Thái Bình năm học 2016 - 2017
| SỞ GIÁO DỤC VÀ ĐÀO TẠO TỈNH KHÁNH HÒA |
THI CHỌN HỌC SINH GIỎI THCS CẤP TỈNH NĂM HỌC: 2016 – 2017 MÔN: TOÁN 8 Ngày thi: 11 – 4 – 2017 Thời gian: 150 phút (không kể thời gian phát đề) |
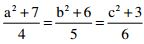
Bài 1. (4 điểm)
a) Tìm 3 số dương a, b, c thỏa mãn
và a2 + 2c2 = 3c2 + 19.
b) Tìm giá trị nhỏ nhất của biểu thức P = x4 + 2x3 + 3x2 + 2x +1.
Bài 2. (3 điểm)
Để tham gia ngày chạy Olympic vì sức khỏe toàn dân, trường A đã nhận được một số chiếc áo và chia đều cho các lớp. Biết rằng theo thứ tự, lớp thứ nhất nhận được 4 áo và 1/9 số áo còn lại, rồi đến lớp thứ n (n = 2; 3; 4; ...) nhận được 4n áo và 1/9 số áo còn lại. Cứ như thế các lớp đã nhận hết số áo.
Hỏi trường A đã nhận được bao nhiêu chiếc áo?
Bài 3. (3 điểm)
Tìm tất cả các số nguyên dương n để (1 + n2017 + n2018) là số nguyên tố.
Bài 4. (3 điểm)
Một giải bóng chuyền có 9 đội bóng tham gia thi đấu vòng tròn một lượt (hai đội bất kì chỉ thi đấu với nhau một trận). Biết đội thứ nhất thắng a1 trận và thua b1 trận, đội thứ hai thắng a2 trận và thua b2 trận, ..., đội thứ 9 thắng a9 trận và thua b9 trận.
Chứng minh rằng a12 + a22 + a32 + ... + a92 = b12 + b22 + b32 + ... + b92.
Bài 5. (5 điểm)
Cho đoạn thẳng AB dài a (cm). Lấy điểm C bất kì thuộc đoạn thẳng AB (C khác A và B). Vẽ tia Cx vuông góc với AB. Trên tia Cx lấy hai điểm D và E sao cho CD = CA và CE = CB.
a) Chứng minh AE vuông góc với BD.
b) Gọi M và N lần lượt là trung điểm AE và BD. Tìm vị trí của điểm C trên đoạn thẳng AB để đa giác CMEDN có diện tích lớn nhất.
c) Gọi I là trung điểm của MN. Chứng minh rằng khoảng cách từ I đến AB không phụ thuộc vào vị trí của điểm C.
Bài 6. (2 điểm)

Hình vuông có 3x3 ô (như hình bên) chứa 9 số mà tổng các số ở mỗi hàng, mỗi cột và mỗi đường chéo đều bằng nhau gọi là hình vuông kì diệu. Chứng minh rằng số ở tâm (x) của một hình vuông kì diệu bằng trung bình cộng của hai số còn lại cùng hàng, hoặc cùng cột, hoặc cùng đường chéo.
Đáp án đề thi học sinh giỏi môn Toán lớp 8


