Đề thi khảo sát chất lượng đầu năm môn Toán lớp 10 trường THPT Phương Sơn, Bắc Giang năm học 2016 - 2017
Đề thi khảo sát chất lượng đầu năm môn Toán lớp 10
Đề thi khảo sát chất lượng đầu năm môn Toán lớp 10 trường THPT Phương Sơn, Bắc Giang năm học 2016 - 2017 là tài liệu tham khảo môn Toán hữu ích được Vndoc.com sưu tầm dành cho quý thầy cô và học sinh, nhằm phục vụ cho kỳ kiểm tra học kỳ I. Mời quý thầy cô cùng các bạn tham khảo.
|
SỞ GD & ĐT BẮC GIANG TRƯỜNG THPT PHƯƠNG SƠN (Đề thi gồm có 01 trang) |
ĐỀ THI KHẢO SÁT LỚP 10 NĂM HỌC 2016-2017 Môn: Toán Thời gian làm bài: 90 phút (không kể thời gian phát đề) |
Câu 1 (3 điểm): Giải các phương trình sau:
a) 4x4 - 17x2 + 4 = 0
b) 4(x - 1)3 - (x + 1)2 = x + 13
c) x4 - 2x3 - 2x2 + 2x + 1 = 0
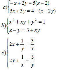
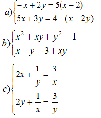
Câu 2 (2,5 điểm): Giải các hệ phương trình sau:

Câu 3 (1 điểm): Cho phương trình: x2 - 2(m - 1)x + m2 - 3m = 0
Tìm các giá trị của tham số m để phương trình có hai nghiệm phân biệt cùng dương.
Câu 4 (1 điểm): Cho phương trình: x3 - 3mx2 - 3x + 3m + 2 = 0
Tìm các giá trị của tham số m để phương trình có 3 nghiệm phân biệt x1; x2; x3 sao cho:
x12 + x22 + x32 > 15
Câu 5 (1,5 điểm): Cho tứ giác ABCD nội tiếp đường tròn đường kính BD. Gọi M, N lần lượt là hình chiếu vuông góc của điểm A trên các đường thẳng BC, BD và P là giao điểm của hai đường thẳng MN, AC. Chứng minh rằng:
a) Tứ giác ABMN nội tiếp.
b) Tam giác AMP là tam giác cân.
Câu 6 (1 điểm): Cho x, y là các số thực khác 0. Chứng minh rằng:

...............................Hết..............................
Thí sinh không được sử dụng tài liệu. Cán bộ coi thi không giải thích gì thêm.
Họ và tên thí sinh:.................................Số báo danh:...........................