Giao diện mới của VnDoc Pro: Dễ sử dụng hơn - chỉ tập trung vào lớp bạn quan tâm. Vui lòng chọn lớp mà bạn quan tâm: Lưu và trải nghiệm
Đóng
Điểm danh hàng ngày
  • Hôm nay +3
  • Ngày 2 +3
  • Ngày 3 +3
  • Ngày 4 +3
  • Ngày 5 +3
  • Ngày 6 +3
  • Ngày 7 +5
Bạn đã điểm danh Hôm nay và nhận 3 điểm!
Nhắn tin Zalo VNDOC để nhận tư vấn mua gói Thành viên hoặc tải tài liệu Hotline hỗ trợ: 0936 120 169

Đề thi thử THPT Quốc gia môn Toán năm 2016 tỉnh Yên Bái

Lớp: Lớp 12
Môn: Toán
Loại File: PDF + Word
Phân loại: Tài liệu Tính phí

Đề thi thử THPT Quốc gia môn Toán 2016 tỉnh Yên Bái

Đề thi thử THPT Quốc gia môn Toán năm 2016 tỉnh Yên Bái gồm 10 câu hỏi, được VnDoc.com sưu tầm và đăng tải, là tài liệu luyện thi THPT Quốc gia môn Toán hữu ích dành cho các bạn thí sinh chuẩn bị bước vào kì THPT Quốc gia, xét tuyển Đại học, Cao đẳng 2016. Mời các bạn tham khảo.

Đề thi thử THPT Quốc gia môn Tiếng Anh năm 2016 Sở GD-ĐT Hà Nội

Đề thi thử THPT Quốc gia môn Toán lần 1 năm 2016 trường THPT Chuyên Vĩnh Phúc

Đề thi thử THPT Quốc gia năm 2016 môn Toán trường THPT Lê Lợi, Thanh Hóa

SỞ GIÁO DỤC VÀ ĐÀO TẠO

TỈNH YÊN BÁI

KỲ THI THỬ TRUNG HỌC PHỔ THÔNG QUỐC GIA NĂM 2016

Môn thi: TOÁN

Thời gian làm bài: 180 phút không kể thời gian phát đề

Câu 1. (1,0 điểm) Khảo sát sự biến thiên và vẽ đồ thị của hàm số Đề thi thử THPT Quốc gia 2016 môn Toán

Câu 2. (1,0 điểm) Viết phương trình tiếp tuyến của đồ thị hàm số y = x3 - 3x2 biết tiếp tuyến song song với đường thẳng Δ: y = 9x + 5.

Câu 3. (1,0 điểm)

1) Cho số phức z = (2 - 3i)(3 + i). Tìm mô đun của z.

2) Giải phương trình 5.25x - 3.5x - 8 = 0

Câu 4. (1,0 điểm) Tính tích phân Đề thi thử THPT Quốc gia 2016 môn Toán

Câu 5. (1,0 điểm) Trong không gian với hệ trục tọa độ Oxyz cho điểm A(3;-2;3) và mặt phẳng (P): x - 3y + z - 1 = 0. Viết phương trình mặt cầu (S) có tâm đồng thời tiếp xúc mặt phẳng (P). Tìm tọa độ tiếp điểm của (S) và (P).

Câu 6. (1,0 điểm)

1) Số giờ có ánh sáng mặt trời của thành phố A ở 40o vĩ bắc trong ngày thứ t của một năm không nhuận được cho bởi hàm số Đề thi thử THPT Quốc gia 2016 môn Toán với t ∈ N, 0 < t ≤ 365. Hỏi vào ngày nào trong năm thành phố A có nhiều giờ có ánh sáng mặt trời nhất.

2) Nhân Ngày Sách Việt Nam (Ngày 21 tháng 4 năm 2016) bạn An chọn ngẫu nhiên 4 quyển sách từ giá sách của mình để tham gia ủng hộ cho tủ sách của trường. Biết rằng trên giá sách của bạn An có 20 quyển sách tham khảo về lĩnh vực khoa học tự nhiên và 18 quyển sách tham khảo về lĩnh vực khoa học xã hội. Tính xác suất để bạn An chọn được 4 quyển sách có đủ cả hai lĩnh vực.

Câu 7. (1,0 điểm) Cho hình chóp có đáy là hình vuông cạnh a, SD = 3a/2. Hình chiếu vuông góc H của đỉnh S lên mặt phẳng (ABCD) là trung điểm của đoạn AB . Gọi K là trung điểm của đoạn AD. Tính theo a thể tích khối chóp S.ABCD và khoảng cách giữa hai đường thẳng HK và SD.

Câu 8. (1,0 điểm) Trong mặt phẳng với hệ trục tọa độ Oxyz cho hình chữ nhật ABCD có đỉnh D(-3;1), đỉnh B thuộc đường thẳng d: x - 2y - 5 = 0. Gọi E là giao điểm thứ hai của đường tròn tâm C bán kinh CA với đường thẳng AB (E ‡ A). Hình chiếu vuông góc của A trên đường thẳng CE là N(6;-2). Tìm tọa độ các đỉnh A, B, C.

Câu 9. (1,0 điểm) Giải hệ phương trình: Đề thi thử THPT Quốc gia 2016 môn Toán

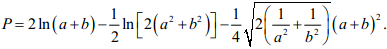
Câu 10. (1,0 điểm) Cho là các số thực dương thỏa mãn a2 + b2 ≤ 2/9. Tìm giá trị lớn nhất của biểu thức

Đề thi thử Đại học môn Toán có đáp án

Chọn file muốn tải về:
Đóng Chỉ thành viên VnDoc PRO/PROPLUS tải được nội dung này!
Đóng
79.000 / tháng
Đặc quyền các gói Thành viên
PRO
Phổ biến nhất
PRO+
Tải tài liệu Cao cấp 1 Lớp
30 lượt tải tài liệu
Xem nội dung bài viết
Trải nghiệm Không quảng cáo
Làm bài trắc nghiệm không giới hạn
Mua cả năm Tiết kiệm tới 48%

Có thể bạn quan tâm

Xác thực tài khoản!

Theo Nghị định 147/2024/ND-CP, bạn cần xác thực tài khoản trước khi sử dụng tính năng này. Chúng tôi sẽ gửi mã xác thực qua SMS hoặc Zalo tới số điện thoại mà bạn nhập dưới đây:

Số điện thoại chưa đúng định dạng!
Số điện thoại này đã được xác thực!
Bạn có thể dùng Sđt này đăng nhập tại đây!
Lỗi gửi SMS, liên hệ Admin
Sắp xếp theo
🖼️

Thi THPT Quốc gia môn Toán

Xem thêm
🖼️

Gợi ý cho bạn

Xem thêm