Đề thi thử THPT Quốc gia môn Toán năm 2016 trường THPT Nam Duyên Hà, Thái Bình (Lần 1)
Đề thi thử THPT Quốc gia 2016 môn Toán
Đề thi thử THPT Quốc gia môn Toán năm 2016 trường THPT Nam Duyên Hà, Thái Bình (Lần 1) gồm 10 câu hỏi có đáp án đi kèm, đây là đề luyện thi THPT Quốc gia hữu ích môn Toán, giúp các bạn củng cố và nâng cao kỹ năng làm bài, từ đó chuẩn bị sẵn sàng cho kì thi THPT Quốc gia sắp tới.
Đề thi thử THPT Quốc gia môn Toán năm 2016 trường THPT Chuyên Đại học Vinh
Đề thi thử THPT Quốc gia năm 2016 môn Toán trường THPT Thanh Chương 1, Nghệ An
Đề thi thử THPT Quốc gia năm 2016 môn Toán trường THPT Triệu Sơn 1, Thanh Hóa
|
SỞ GIÁO DỤC VÀ ĐÀO TẠO THÁI BÌNH TRƯỜNG THPT NAM DUYÊN HÀ Đề gồm 01 trang |
KỲ THI THỬ THPT QUỐC GIA 2016 LẦN 1 Môn thi: Toán Thời gian: 180 phút. |
Câu 1. (1,0 điểm)
Khảo sát sự biến thiên và vẽ đồ thị (C) của hàm số y = x4 + 2x2 + 1.
Câu 2. (1,0 điểm)
Tìm giá trị lớn nhất, giá trị nhỏ nhất của hàm số f(x) = x3 - 3x2 + 1 trên đoạn [-1;3/2].
Câu 3. (1,0 điểm)
a) Giải phương trình: 4x + 1/2 + 7.2 x - 1 - 1 = 0.
b) Tìm số phức z thỏa mãn ![]()
Câu 4. (1,0 điểm)
a) Cho sin a + cos a = 5/4. Tính sin 2a.
b) Có 2 hộp bi, hộp thứ nhất có 4 bi đỏ và 3 bi trắng, hộp thứ hai có 2 bi đỏ và 4 bi trắng. Lấy ngẫu nhiên mỗi hộp 1 viên, tính xác suất để 2 bi lấy được cùng màu.
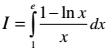
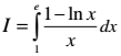
Câu 5. (1,0 điểm)
Tính tích phân: 
Câu 6. (1,0 điểm)
Cho hình chóp S.ABC có SA = SB = SC = a, ASB = 90o, BSC = 120o, CSA = 90o. Tính theo a thể tích khối chóp S.ABC và khoảng cách từ C đến mp(SAB).
Câu 7. (1,0 điểm)
Trong không gian Oxyz cho mặt phẳng (P) có phương trình: x + y - 2z - 6 = 0. Lập phương trình mặt cầu (S) có tâm là gốc tọa độ O và tiếp xúc với mặt phẳng (P), tìm tọa độ tiếp điểm.
Câu 8. (1,0 điểm)
Giải bất phương trình: ![]()
Câu 9. (1,0 điểm)
Trong mặt phẳng tọa độ Oxy, cho hình thoi ABCD ngoại tiếp đường tròn (C): (x - 1)2 + (y + 1)2 = 20. Biết rằng AC = 2BD và điểm B thuộc đường thẳng d: 2x - y - 5 = 0. Viết phương trình cạnh AB của hình thoi ABCD biết điểm B có hoành độ dương.
Câu 10. (1,0 điểm)
Cho ba số thực dương x, y, z thỏa mãn: xyz = 3. Tìm giá trị nhỏ nhất của biểu thức:
![]()
Đáp án đề thi thử THPT Quốc gia năm 2016 môn Toán
Câu 1:
* TXĐ: D = R
y' = -4x3 + 4x
Cho y' = 0
→ 4x(-x2 + 1) = 0
x = 0; x = 1; x = -1
Hs nghịch biến trên mỗi khoảng (-1;0), (1; +∞), và đồng biến trên mỗi khoảng (-∞;-1), (0;1)
Hs đạt cực tiểu tại điểm x = 0, yCT = 1 và đạt cực đại tại các điểm x = ±1, yCĐ = 2
![]()
* BBT:

* Đồ thị (C)

(Còn tiếp)