Giao diện mới của VnDoc Pro: Dễ sử dụng hơn - chỉ tập trung vào lớp bạn quan tâm. Vui lòng chọn lớp mà bạn quan tâm: Lưu và trải nghiệm
Đóng
Điểm danh hàng ngày
  • Hôm nay +3
  • Ngày 2 +3
  • Ngày 3 +3
  • Ngày 4 +3
  • Ngày 5 +3
  • Ngày 6 +3
  • Ngày 7 +5
Bạn đã điểm danh Hôm nay và nhận 3 điểm!
Nhắn tin Zalo VNDOC để nhận tư vấn mua gói Thành viên hoặc tải tài liệu Hotline hỗ trợ: 0936 120 169

Đề thi thử THPT Quốc gia môn Toán năm 2016 trường THPT Lục Ngạn số 1, Bắc Giang

Loại File: Word + PDF
Phân loại: Tài liệu Tính phí

Đề thi thử THPT Quốc gia môn Toán năm 2016

Nhằm giúp thầy cô và các bạn học sinh ôn tập và củng cố kiến thức, luyện đề chuẩn bị sẵn sàng cho kỳ thi THPT Quốc gia năm 2016, VnDoc.com xin giới thiệu tới các bạn đề thi thử THPT Quốc gia môn Toán năm 2016 trường THPT Lục Ngạn số 1, Bắc Giang. Hi vọng tài liệu này sẽ giúp các bạn ôn thi tốt nghiệp môn Toán, luyện thi đại học môn Toán 2016 hiệu quả hơn.

Đề thi thử THPT Quốc gia môn Toán lần 1 năm 2016 trường THPT Chuyên Lào Cai

Đề thi thử THPT Quốc gia môn Toán năm 2016 trường THPT Hiệp Hòa số 1, Bắc Giang

SỞ GD&ĐT BẮC GIANG

TRƯỜNG THPT LỤC NGẠN SỐ 1

ĐỀ: CHÍNH THỨC

(Đề thi gồm 01 trang)

ĐỀ THI THỬ THPT QUỐC GIA

THÁNG 10 - 2015

MÔN: TOÁN

Thời gian làm bài: 150 phút (không kể thời gian giao đề)

Câu 1. (2,0 điểm) Cho hàm số y = x3 – 3x + 1 (1)

a). Khảo sát sự biến thiên và vẽ đồ thị (C) của hàm số (1)

b). Tìm tọa độ điểm A(x1; y1) thuộc (C), biết tiếp tuyến với (C) tại A cắt (C) tại điểm B(x2; y2) (B khác điểm A) sao cho x1 + x2 = 1

Câu 2. (2,0 điểm)

a) Tìm giá trị lớn nhất, nhỏ nhất của hàm số f(x) = x4 – 2x2 – 3 trên đoạn [0; 2].

b) Giải phương trình √3sin2x + 2sin2x = 4sin3xcosx + 2

Câu 3. (1,5 điểm)

a) Một tổ của lớp 12A1 trường THPT Lục Ngạn số 1 – Bắc Giang gồm 5 nam và 8 nữ. Từ tổ trên người ta cần lập một nhóm "Tình nguyện" gồm 4 học sinh. Tìm xác suất để trong 4 học sinh được chọn có ít nhất 1 nữ.

b) Tìm hệ số xủa x6 trong khai triển nhị thức Niu-tơn của biểu thức P = (x5 + 3/4)n+6 (x ≠ 0), biết n là số nguyên dương thỏa mãn .

Câu 4. (1,5 điểm) Cho hình chóp S.ABCD có đáy ABCD là hình vuông cạnh a. Gọi M là trung điểm của đoạn AB. Biết hai mặt phẳng (SMC), (SMD) cùng vuông góc với mặt phẳng (ABCD) và góc tạo bởi đường thẳng SC với mặt đáy bằng 600. Tính theo a thể tích khổi chóp S.ABCD và khoảng cách từ điểm B đến mặt phẳng (SCD).

Câu 5. (1,0 điểm) Trên mặt phẳng Oxy, cho hình vuông ABCD. Gọi M là điểm thuộc cạnh BC. Đường tròn đường kính AM cắt BC tại B, cắt BD tại N(6; 2). Tìm tọa độ các điểm A và C, biết M(5; 7); đỉnh C thuộc đường thẳng d: x + y - 4 = 0, hoành điểm C nguyên và điểm A có hoành độ bé hơn 2.

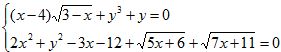
Câu 6. (1,0 điểm) Giải hệ phương trình

(x, y ∈ R)

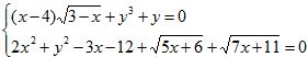
Câu 7. (1,0 điểm) Cho các số thực x, y, z thay đổi thỏa mãn x.y.z = -1 và x4 + y4 = 8xy - 6. Tìm giá trị lớn nhất của biểu thức:

Chọn file muốn tải về:
Đóng Chỉ thành viên VnDoc PRO/PROPLUS tải được nội dung này!
Đóng
79.000 / tháng
Đặc quyền các gói Thành viên
PRO
Phổ biến nhất
PRO+
Tải tài liệu Cao cấp 1 Lớp
30 lượt tải tài liệu
Xem nội dung bài viết
Trải nghiệm Không quảng cáo
Làm bài trắc nghiệm không giới hạn
Mua cả năm Tiết kiệm tới 48%
Xác thực tài khoản!

Theo Nghị định 147/2024/ND-CP, bạn cần xác thực tài khoản trước khi sử dụng tính năng này. Chúng tôi sẽ gửi mã xác thực qua SMS hoặc Zalo tới số điện thoại mà bạn nhập dưới đây:

Số điện thoại chưa đúng định dạng!
Số điện thoại này đã được xác thực!
Bạn có thể dùng Sđt này đăng nhập tại đây!
Lỗi gửi SMS, liên hệ Admin
Sắp xếp theo
🖼️

Thi THPT Quốc gia môn Toán

Xem thêm
🖼️

Gợi ý cho bạn

Xem thêm