Giao diện mới của VnDoc Pro: Dễ sử dụng hơn - chỉ tập trung vào lớp bạn quan tâm. Vui lòng chọn lớp mà bạn quan tâm: Lưu và trải nghiệm
Đóng
Điểm danh hàng ngày
  • Hôm nay +3
  • Ngày 2 +3
  • Ngày 3 +3
  • Ngày 4 +3
  • Ngày 5 +3
  • Ngày 6 +3
  • Ngày 7 +5
Bạn đã điểm danh Hôm nay và nhận 3 điểm!
Nhắn tin Zalo VNDOC để nhận tư vấn mua gói Thành viên hoặc tải tài liệu Hotline hỗ trợ: 0936 120 169

Đề thi thử THPT Quốc gia môn Toán năm 2016 trường THPT Hiệp Hòa số 1, Bắc Giang

Loại File: Word + PDF
Phân loại: Tài liệu Tính phí

Đề thi thử THPT Quốc gia môn Toán năm 2016

Đầu tháng 11/2015, THPT Hiệp Hòa số 1 tổ chức cho học sinh thi thử tốt nghiệp, thi thử đại học nhằm chuẩn bị sẵn sàng cho kỳ thi THPT Quốc gia 2016. VnDoc.com xin mời các bạn cùng tham khảo Đề thi thử THPT Quốc gia môn Toán năm 2016 trường THPT Hiệp Hòa số 1, Bắc Giang.

Đề thi thử THPT Quốc gia môn Toán lần 1 năm 2016 trường THPT Chuyên Lào Cai

Đề thi thử THPT Quốc gia môn Toán lần 2 năm 2016 trường THPT Đào Duy Từ

SỞ GD&ĐT BẮC GIANG

TRƯỜNG THPT HIỆP HÒA SỐ 1

ĐỀ THI THỬ THPT QUỐC GIA NĂM 2016

Môn thi: TOÁN

Thời gian làm bài: 180 phút, không kể thời gian giao đề

Câu 1: (2,0 điểm) Cho hàm số (1)

a) Khảo sát sự biến thiên và vẽ đồ thi (C) của hàm số (1)

b) Viết phương trình tiếp tuyến của (C) biết tiếp điểm đó có hệ số góc bằng 1/4

Câu 2: (1,0 điểm) Tìm giá trị lớn nhất và nhỏ nhất của hàm số y = x4 - 2x3 - 5x2 + 1 trên đoạn [-3; 1]

Câu 3: (1,0 điểm) Cho hàm số y = -1/3 x3 + ax2 + bx + 1/3. Xác định a, b để hàm số đạt cực đại x = 1 và giá trị cực đại tại điểm đó bằng 2.

Câu 4 (1,0 điểm) Cho cosα = 4/5; (-π/2 < α < 0). Tính giá trị biểu thức A = sin(α - π/4)cos(α + π/4)

Câu 5. (1,0 điểm) Một bình đựng 6 viên bi màu trắng vả 7 viên bi màu vàng. Lấy ngẫu nhiên một viên bi, rồi lấy tiếp một viên nữa. Tính xác suất của biến cố lần thứ hai được một viên bi màu vàng.

Câu 6. (1,0 điểm) Trong không gian hình chóp S.ABCD, tứ giác ABCD là hình thang cân, hai đáy BC và AD. Biết SA = a√2, AD = 2a, AB = BC = CD = a. Hình chiếu vuông góc cúa S trên mặt phẳng ABCD trùng với trung điểm cạnh AD. Tính theo a thể tích khối chóp S.ABCD và khoảng cách giữa hai đường thẳng SB và AD.

Câu 7. (1,0 điểm) Trong mặt phẳng Oxy, cho hình vuông ABCD có M(2; -5/2) là trung điểm của AB, trọng tâm của tam giác ACD là điểm G(3; 2). Tìm tọa độ các đỉnh của hình vuông ABCD, biết B có hoành độ dương.

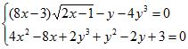
Câu 8. (1,0 điểm) Giải hệ phương trình

(x, y ∈ R)

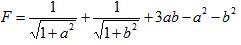
Câu 9. (1,0 điểm) Cho 2 số thực a, b ∈ (0; 1) thỏa mãn (a3 + b3)(a + b) - ab(a - 1)(b - 1) = 0. Tìm giá trị lớn nhất của biểu thức

Chọn file muốn tải về:
Đóng Chỉ thành viên VnDoc PRO/PROPLUS tải được nội dung này!
Đóng
79.000 / tháng
Đặc quyền các gói Thành viên
PRO
Phổ biến nhất
PRO+
Tải tài liệu Cao cấp 1 Lớp
30 lượt tải tài liệu
Xem nội dung bài viết
Trải nghiệm Không quảng cáo
Làm bài trắc nghiệm không giới hạn
Mua cả năm Tiết kiệm tới 48%
Xác thực tài khoản!

Theo Nghị định 147/2024/ND-CP, bạn cần xác thực tài khoản trước khi sử dụng tính năng này. Chúng tôi sẽ gửi mã xác thực qua SMS hoặc Zalo tới số điện thoại mà bạn nhập dưới đây:

Số điện thoại chưa đúng định dạng!
Số điện thoại này đã được xác thực!
Bạn có thể dùng Sđt này đăng nhập tại đây!
Lỗi gửi SMS, liên hệ Admin
Sắp xếp theo
🖼️

Thi THPT Quốc gia môn Toán

Xem thêm
🖼️

Gợi ý cho bạn

Xem thêm