Đề thi thử THPT Quốc gia năm 2016 môn Toán trường THPT Anh Sơn 2, Nghệ An (Lần 2)
Đề thi thử THPT Quốc gia 2016 môn Toán
Đề thi thử THPT Quốc gia năm 2016 môn Toán trường THPT Anh Sơn 2, Nghệ An (Lần 2) được VnDoc.com sưu tầm và đăng tải, đây là đề thi thử THPT Quốc gia môn Toán, luyện thi Đại học, Cao đẳng hữu ích dành cho các bạn học sinh lớp 12, những bạn chuẩn bị bước vào kì thi THPT Quốc gia 2016 sắp tới.
Đề thi thử THPT Quốc gia năm 2016 môn Toán trường THPT Anh Sơn 2, Nghệ An (Lần 1)
Đề thi thử THPT Quốc gia môn Toán lần 1 năm 2016 trường THPT Chuyên Vĩnh Phúc
Đề thi thử THPT Quốc gia môn Toán năm 2016 Sở GD - ĐT Hà Nội
|
SỞ GD & ĐT NGHỆ AN TRƯỜNG THPT ANH SƠN II ————— ĐỀ CHÍNH THỨC (Đề thi có 01 trang) |
ĐỀ THI THỬ THPT QUỐC GIA NĂM 2016 (LẦN II) Môn thi: TOÁN Thời gian làm bài: 180 phút, không kể thời gian phát đề |
Câu 1 (1 điểm). Khảo sát sự biến thiên và vẽ đồ thị của hàm số ![]()
Câu 2 (1điểm). Tìm m để hàm số sau đồng biến trên tập xác định của nó.
![]()
Câu 3 (1 điểm).
a) Cho số phức z thoả mãn
. Tìm số phức liên hợp của z.
b) Giải phương trình sau: log2x - 2logx2 + 1 = 0.
Câu 4 (1 điểm). Tính tích phân sau: 
Câu 5 (1điểm). Trong không gian với hệ tọa độ Oxyz, cho hai đường thẳng
và mặt phẳng (P): x - y - 2z + 3 = 0.
Viết phương trình đường thẳng Δ nằm trên mặt phẳng (P) và cắt hai đường thẳng d1, d2.
Câu 6 (1 điểm).
a) Cho tanα = 5. Tính giá trị của biểu thức ![]()
b) Để chuẩn bị tiêm phòng dịch Sởi - Rubella cho học sinh khối 11 và khối 12. Bệnh viện tỉnh Nghệ An điều động 12 bác sỹ đến truờng THPT Anh Sơn 2 để tiêm phòng dịch gồm 9 bác sỹ nam và 3 bác sỹ nữ. Ban chỉ đạo chia 12 bác sỹ đó thành 3 nhóm, mỗi nhóm 4 bác sỹ làm 3 công việc khác nhau. Tính xác suất để khi chia ngẫu nhiên ta được mỗi nhóm có đúng 1 bác sỹ nữ.
Câu 7 (1 điểm). Cho hình chóp S.ABC có đáy ABC là tam giác vuông tại A. Cạnh AC = a, BC = a√5. Mặt phẳng (SAB) vuông góc mặt phẳng đáy và tam giác SAB đều. Gọi K điểm thuộc cạnh SC sao cho SC = 3SK. Tính thể tích của khối chóp S.ABC và khoảng cách giữa hai đường thẳng AC và BK theo a.
Câu 8 (1 điểm). Trong mặt phẳng Oxy cho tam giác ABC có C(-1;-2) ngoại tiếp đường tròn tâm I. Gọi M, N, H lần luợt các tiếp điểm của (I) với cạnh AB, AC, BC. Gọi K(-1;-4) là giao điểm của BI với MN. Tìm toạ độ các đỉnh còn lại của tam giác ABC, biết H(2;1).
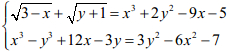
Câu 9 (1 điểm). Giải hệ phương trình sau: 
Câu 10 (1 điểm). Cho là các số thực thoả mãn . Tìm giá trị lớn nhất của biểu thức sau:
![]()
Đáp án đề thi thử THPT Quốc gia môn Toán năm 2016
Câu 1:
1. TXĐ: D = R \ {1}
2. Sự biến thiên:

3. Đồ thị:

(Còn tiếp)