Đề thi thử THPT Quốc gia năm 2016 môn Toán trường THPT Lý Thường Kiệt, Bình Thuận (Lần 2)
Đề thi thử THPT Quốc gia năm 2016 môn Toán
Đề thi thử THPT Quốc gia năm 2016 môn Toán trường THPT Lý Thường Kiệt, Bình Thuận (Lần 2) có đáp án đi kèm, là tài liệu luyện thi môn Toán hữu ích dành cho các bạn học sinh lớp 12, những bạn chuẩn bị bước vào kì thi THPT Quốc gia 2016. Chúc các bạn đạt kết quả cao trong kỳ thi quan trọng sắp tới.
Đề thi thử THPT Quốc gia năm 2016 môn Toán trường THPT Lý Thường Kiệt, Bình Thuận (Lần 1)
Đề thi thử THPT Quốc gia năm 2016 môn Hóa học trường THPT Lý Thường Kiệt, Bình Thuận (Lần 1)
| SỞ GD&ĐT BÌNH THUẬN TRƯỜNG THPT LÝ THƯỜNG KIỆT TỔ TOÁN |
ĐỀ THI THỬ LẦN II NĂM HỌC 2015-2016 MÔN: TOÁN Thời gian: 180 phút (không kể thời gian phát đề) |
Bài 1 (2 điểm).
- Khảo sát sự biến thiên và vẽ đồ thị (C) của hàm số y = x3 + 3x2 - 2.
- Viết phương trình tiếp tuyến với đồ thị (C) biết hệ số góc của tiếp tuyến bằng - 3.
Bài 2 (1 điểm).
- Cho tan x = 2. Chứng minh sin2x – 2sin2x – 3cos2x = −7/5.
- Giải bất phương trình log94. log2(9x − 6) > x.
Bài 3 (1 điểm).
- Tính môđun của số phức

- Trong một chiếc hộp có chứa 10 quả cầu có kích thước như nhau được đánh số từ 1 đến 10. Lấy ngẫu nhiên ra ba quả cầu trong hộp đó. Tính xác suất để các số ghi trên 3 quả cầu lấy được là độ dài ba cạnh của một tam giác vuông.
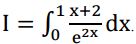
Bài 4 (1 điểm). Tính tích phân ![]()
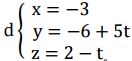
Bài 5 (1 điểm). Trong không gian với hệ trục tọa độ Oxyz, cho điểm A(-3;-1;2), đường thẳng
và mặt phẳng (P) x + 2y - 2z + 4 = 0. Viết phương trình mặt phẳng (Q) chứa đường thẳng d và vuông góc với mặt phẳng (P). Tìm toạ độ của điểm M thuộc đường thẳng (d) sao cho khoảng cách từ điểm M đến mặt phẳng (P) bằng độ dài đoạn MA.
Bài 6 (1 điểm). Cho hình chóp S.ABC có đáy ABC là tam giác đều cạnh bằng a, tam giác SAC cân tại S và nằm trong mặt phẳng vuông góc với đáy, SB hợp với đáy một góc 30o. Gọi M là trung điểm của đoạn BC. Tính thể tích khối chóp S.ABM và khoảng cách giữa hai đường thẳng SB, AM theo a.
Bài 7 (1 điểm). Trong mặt phẳng tọa độ Oxy cho hình chữ nhật ABCD có AB = 2AD, đỉnh D(-1;1) và điểm M(5;5) nằm trên cạnh AB sao cho AM = 3MB. Tìm tọa độ các đỉnh A, B, C của hình chữ nhật, biết đỉnh A có hoành độ âm.
Bài 8 (1 điểm). Giải phương trình ![]()
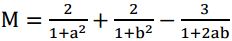
Bài 9 (1 điểm). Cho hai số thực dương a, b thỏa mãn a4 + b4 + 1/ab ≤ ab + 2. Tìm giá trị lớn nhất của biểu thức ![]()
Đáp án đề thi thử THPT Quốc gia năm 2016 môn Toán


