Đề thi thử THPT Quốc gia môn Toán trường THPT Hiền Đa, Phú Thọ năm 2014 - 2015 (Lần 2)
Đề thi thử THPT Quốc gia môn Toán có đáp án
Đề thi thử THPT Quốc gia môn Toán trường THPT Hiền Đa, Phú Thọ năm 2014 - 2015 (Lần 2) với 10 câu hỏi có đáp án đi kèm, là tài liệu ôn tập môn Toán hữu ích dành cho các bạn học sinh chuẩn bị bước vào kì thi THPT Quốc gia, luyện thi Đại học, Cao đẳng 2016.
Đề thi thử THPT Quốc gia năm 2016 môn Toán trường THPT Mai Thúc Loan, Hà Tĩnh
Bộ công thức Toán lớp 12 ôn thi THPT Quốc gia từ A - Z
Đề thi thử THPT Quốc gia môn Toán trường THPT Hồng Quang, Hải Dương
|
SỞ GD & ĐT PHÚ THỌ TRƯỜNG THPT HIỀN ĐA |
KÌ THI THỬ THPT QUỐC GIA LẦN IINĂM HỌC 2014 - 2015 MÔN THI: TOÁN Thời gian làm bài: 180 phút không kể thời gian giao đề |
Câu 1 (2 điểm) Cho hàm số y = x3 - 3x2 (C).
1. Khảo sát sự biến thiên và vẽ đồ thị hàm số (C).
2. Viết phương trình tiếp tuyến của đồ thị (C) tại điểm có hoành độ bằng 1.
Câu 2 (1 điểm)
Câu 3 (0,5 điểm) Giải phương trình sau: log22(x - 3) + log√2(x - 3) = 3
Câu 4 (1 điểm)
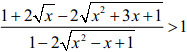
Giải bất phương trình sau:

Câu 5 (1 điểm)
Tính tích phân sau:
![]()
Câu 6 (1 điểm)
Cho hình chóp S.ABCD có đáy ABCD là hình vuông cạnh a, tam giác SAD cân tại S và nằm trên mặt phẳng vuông góc với mặt phẳng (ABCD). Gọi M là trung điểm của CD; H là hình chiếu vuông góc của D trên SM; Biết góc giữa hai mặt phẳng (SBC) và (ABCD) bằng 60o. Tính thể tích khối chóp S.ABCD và khoảng cách từ H đến mặt phẳng (SBC) theo a.
Câu 7 (1 điểm)

Câu 8 (1 điểm)
Trong mặt phẳng với hệ tọa độ Oxy Cho hình vuông ABCD có điểm C(2; -2). Gọi điểm I, K lần lượt là trung điểm của DA và DC; M(-1; -1) là giao của BI và AK. Tìm tọa độ các đỉnh còn lại của hình vuông ABCD biết điểm B có hoành độ dương.
Câu 9 (0,5 điểm)
Đoàn trường THPT Hiền Đa thành lập 3 nhóm học sinh mỗi nhóm có 4 học sinh để chăm sóc 3 bồn hoa của nhà trường, mỗi nhóm được chọn từ đội xung kích nhà trường gồm 4 học sinh khối 10, 4 học sinh khối 11 và 4 học sinh khối 12. Tính xác suất để mỗi nhóm phải có mặt học sinh khối 12.
Câu 10 (1 điểm) Cho các số dương a, b, c thay đổi thỏa mãn a + b + c ≤ 3. Tìm giá trị nhỏ nhất của biểu thức:
Đáp án đề thi thử THPT Quốc gia môn Toán
Câu 1:
1. Khảo sát sự biến thiên và vẽ đồ thị hàm số (C).
+) TXĐ: D = R

2. Viết phương trình tiếp tuyến của đồ thị (C) tại điểm có hoành độ bằng 1.
Giả sử tiếp điểm M(x0;y0).
Với x0 = 1 -> y0 = -2
-> f'(1) = -3
Vậy phương trình tiếp tuyến của đồ thị hàm số tại điểm M(1; -2) là y = -3(x - 1) -2 hay y = -3x + 1
Câu 2:

(Còn tiếp)