Giải SBT Vật lý 8 bài 10: Lực đẩy Ác-si-mét
SBT Vật lý 8 bài 10
- Bài 10.1 trang 32 SBT Vật lý 8
- Bài 10.2 trang 32 SBT Vật lý 8
- Bài 10.3 trang 32 SBT Vật lý 8
- Bài 10.4 trang 32 SBT Vật lý 8
- Bài 10.5 trang 32 SBT Vật lý 8
- Bài 10.6 trang 32 SBT Vật lý 8
- Bài 10.7 trang 32 SBT Vật lý 8
- Bài 10.8 trang 32 SBT Vật lý 8
- Bài 10.9 trang 33 SBT Vật lý 8
- Bài 10.10 trang 33 SBT Vật lý 8
- Bài 10.11 trang 33 SBT Vật lý 8
- Bài 10.12 trang 33 SBT Vật lý 8
- Bài 10.13 trang 33 SBT Vật lý 8
Giải SBT Vật lý 8 bài 10: Lực đẩy Ác-si-mét hướng dẫn các em giải chi tiết các bài tập cơ bản và nâng cao trong vở bài tập Vật lý 8. Hi vọng đây sẽ là lời giải hay môn Vật lý lớp 8 dành cho quý thầy cô và các em học sinh tham khảo.
Bài 10.1 trang 32 SBT Vật lý 8
Lực đẩy Ác-si-mét phụ thuộc vào
A. trọng lượng riêng của chất lỏng và của vật.
B. trọng lượng riêng của chất lỏng và thể tích của phần chất lỏng bị vật chiếm chỗ.
C. trọng lượng riêng và thể tích của vật.
D. trọng lượng của vật và thể tích của phần chất lỏng bị vật chiếm chỗ.
Giải
=> Chọn B
Bài 10.2 trang 32 SBT Vật lý 8
Ba quả cầu bằng thép nhúng trong nước (H.10.1). Lực Ác-si-mét tác dụng lên quả cầu nào là lớn nhất?

A. Quả 3, vì nó ở sâu nhất
B. Quả 2, vì nó lớn nhất
C. Quả 1, vì nó nhỏ nhất
D. Bằng nhau vì đều bằng thép và đều nhúng trong nước
Giải
=> Chọn B
Bài 10.3 trang 32 SBT Vật lý 8
Ba vật làm bằng ba chất khác nhau là đồng, sắt, nhôm, có lượng bằng nhau. Khi nhúng chúng ngập vào trong nước thì lực đẩy nước tác dụng vào vật nào là lớn nhất, bé nhất?
Giải:
Ba vật làm bằng 3 chất khác nhau nên khối lượng riêng của chúng khác nhau
Vì mđồng = msắt = mnhôm => Vđồng < Vsắt < Vnhôm (V = m/D)
Do đó lực đẩy của nước tác dụng vào vật bằng nhôm là lớn nhất lực đẩy của nước tác dụng vào vật bằng đồng là bé nhất.
Bài 10.4 trang 32 SBT Vật lý 8
Ba vật làm bằng ba chất khác nhau là sắt, nhôm, sứ, có hình khác nhau nhưng thể tích bằng nhau. Khi nhúng chúng ngập vào trong thì lực đẩy của nước tác dụng vào ba vật có khác nhau không? Tại sao?
Giải
Lực đẩy tác dụng vào 3 vật băng nhau. Vì F = d.v mà 3 vật có thể tích bằng nhau.
Bài 10.5 trang 32 SBT Vật lý 8
Thể tích của một miếng sắt là 2dm3. Tính lực đẩy Ác-si-mét dụng lên miếng sắt khi nó được nhúng chìm trong nước, trong rượu, miếng sắt được nhúng ở độ sâu khác nhau, thì lực đẩy Ac-si-mét có thay đổi không? Tại sao?
Giải
- Lực đẩy Ac-si-met tác dụng lên miếng sắt khi nhúng trong nước
FA = dnước . Vsắt =10000.0,002 = 20N
- Lực đẩy Ac-si-met không thay đổi khi nhúng vật ở những độ sâu khác nhau vì lực đẩy Ac-si-met chỉ phụ thuộc vào trọng lượng riêng của chất lỏng và thể tích của phần chất lỏng bị vật chiếm chỗ.
Bài 10.6 trang 32 SBT Vật lý 8
Một thỏi nhôm và một thỏi đồng có trọng lượng như nhau. Treo thỏi nhôm và đồng vào hai phía của một cân treo. Để cân thăng bằng nhúng ngập cả hai thỏi đồng thời vào hai bình đựng nước. Cân bây giờ còn thăng bằng không? Tại sao?
Giải
Cân không thăng bằng. Lực đẩy của nước tác dụng vào hai thỏi tính theo công thức: FA1 = dVnhôm; FA2 = dVđồng (d là trọng lượng riêng của nước; V1 là thể tích của thỏi nhôm; V2 là thể tích của thỏi đồng).
Vì trọng lượng riêng của đồng lớn hơn nhôm nên suy ra V1 > V2, do đó FA1 > FA2.
Bài 10.7 trang 32 SBT Vật lý 8
Lực đẩy Ác-si-mét có thể tác dụng lên vật nào dưới đây?
A. Vật chìm hoàn toàn trong chất lỏng.
B. Vật lơ lửng trong chất lỏng
C. Vật nổi trên mặt chất lỏng
D. Cả ba trường hợp trên
Giải
=> Chọn D
Bài 10.8 trang 32 SBT Vật lý 8
Thả một viên bi sắt vào một cốc nước. Viên bi càng xuống sâu thì:
A. lực đẩy Ác-si-mét tác dụng lên nó càng tăng, áp suất nước tác dụng lên nó càng tăng
B. lực đẩy Ác-si-mét tác dụng lên nó càng giảm, áp suất nước tác dụng lên nó càng tăng
C. lực đẩy Ác-si-mét tác dụng lên nó không đổi, áp suất nước tác dụng lên nó càng tăng
D. lực đẩy Ác-si-mét tác dụng lên nó không đổi, áp suất nước tác dụng lên nó không đổi
Giải
=> Chọn C
Bài 10.9 trang 33 SBT Vật lý 8
Một vật được móc vào lực kế để đo lực theo phương thẳng đứng. Khi vật ở trong không khí, lực kế chỉ 4,8N. Khi vật chìm trong nước, lực kế chỉ 3,6N. Biết trọng lượng riêng của nước là 104N/m3. Bỏ qua lực đẩy Ac-si-mét của không khí. Thể tích của vật nặng là
A. 480cm3
B. 360cm3
C. 120cm3
D. 20cm3
Giải
=> Chọn C
Lực đẩy Ac-si-met tác dụng lên vật:
FA = P - P’ = 4,8 - 3,6 = 1,2N
Thể tích vật: ![]()
Bài 10.10 trang 33 SBT Vật lý 8
Điều kiện để một vật đặc, không thấm nước, chỉ chìm một phần trong nước là:
A. trọng lượng riêng của vật bằng trọng lượng riêng của nước
B. trọng lượng riêng của vật nhỏ hơn trong lượng riêng của nước
C. lực đẩy Ác-si-mét lớn hơn trọng lượng của vật
D. lực đẩy Ác-si-mét nhỏ hơn trọng lượng của vật
Giải
=> Chọn B
Bài 10.11 trang 33 SBT Vật lý 8
Một cục nước đá được thả nổi trong một cốc đựng nước. Chứng minh rằng khi nước đá tan hết thì mực nước trong cốc không thay đổi
Giải:
Gọi Pd là trọng lượng của cục đá khi chưa tan, V1 là thể tích của phần nước bị cục đá chiếm chỗ, dn là trọng lượng riêng của nước, FA là lực đẩy Ac-si-mét tác dụng lên nước đá khi chưa tan.
Pd = FA = V1dn ⇒V1 = Pd/dn (1)
Gọi V2 là thể tích của nước do cục nước đá tan hết tạo thành, P2 là trọng lượng của lượng nước trên, ta có: V2 = P2/dn
Vì khối lượng của cục nước đá và khối lượng của lượng nước do cục nước đá tan hết tạo thành phải bằng nhau, nên:
P2 = Pd và V2 = P2/dn (2)
Từ (1) và (2) suy ra: V1 = V2. Thể tích của phần nước bị nước đá chiếm chỗ đúng bằng thể tích của nước trong cốc nhận được khi nước đá tan hết. Do đó mực nước trong cốc không thay đổi.
Bài 10.12 trang 33 SBT Vật lý 8
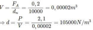
Treo một vật ở ngoài không khí vào lực kế, lực kế chỉ 2,1N. Nhúng chìm vật đó vào nước thì số chỉ của lực kế giảm 0,2N. Hỏi chất làm vật đó có trọng lượng riêng lớn gấp bao nhiêu lần trọng lượng riêng của nước? Biết trọng lượng riêng của nước là 10 000N/m3.
Giải
Khi nhúng chìm vật vào nước, vật chịu tác dụng của lực đẩy Ac-si-mét nên số chỉ của lực kế giảm 0,2N, tức là FA = 0,2N.
Ta có FA = Vdn, trong đó dn là trọng lượng riêng của nước, V là thể tích phần nước bị vật chiếm chỗ.
Thể tích của vật là:

Tỉ số: d/dn = 10,5 lần. Chất làm vật là bạc.
Bài 10.13 trang 33 SBT Vật lý 8
Một quả cầu bằng nhôm, ở ngoài không khí có trọng lượng 1,458N. Hỏi phải khoét bớt lõi quả cầu một thể tích bằng bao nhiêu hàn kín lại, để khi thả vào nước quả cầu nằm lơ lửng trong nước? Biết trọng lượng riêng của nước và nhôm lần lượt là 10 000N/m3 và 27 000N/m3.
Giải:

....................................
Giải SBT Vật lý 8 bài 10: Lực đẩy Ác-si-mét được VnDoc chia sẻ trên đây nhằm hướng dẫn các bạn giải các bài tập. Tài liệu gồm 12 bài tập nằm trong SBT Vật lý lớp 8 giúp các bạn học sinh hệ thống lại những kiến thức đã học trong bài, định hướng phương pháp giải các bài tập cụ thể. Chúc các bạn học tốt.
Ngoài tài liệu trên, các bạn học sinh còn có thể tham khảo các đề thi học học kì 1 lớp 8, đề thi học học kì 2 lớp 8 các môn Toán, Văn, Anh, Hóa, Lý, Địa, Sinh mà chúng tôi đã sưu tầm và chọn lọc. Với Tài liệu học tập lớp 8 này giúp các bạn rèn luyện thêm kỹ năng giải đề và làm bài tốt hơn. Chúc các bạn ôn thi tốt.
- Giải bài tập SBT Vật lý lớp 8 bài 9: Áp suất khí quyển
- Giải bài tập SGK Vật lý lớp 8 bài 10: Lực đẩy Ác si mét
- Giải bài tập SBT Vật lý lớp 8 bài 12: Sự nổi