Phân loại:
Tài liệu Tính phí
Giải các phương trình sau
a) (x^2 - 2x + 1) - 4 = 0
b) (x+2)^2 = 9(x^2 + 6x + 9)
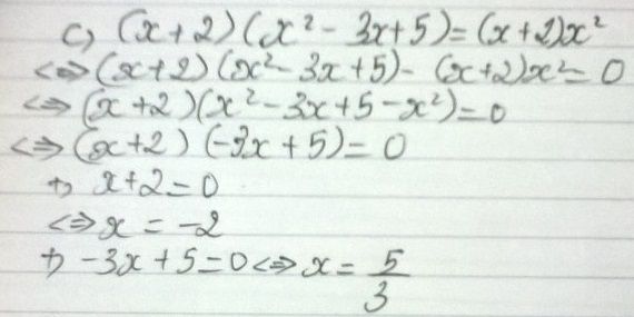
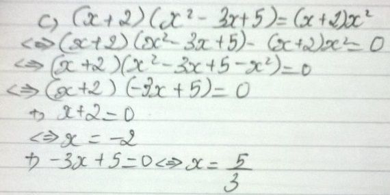
c) (x+2)(x^2-3x+5) = (x+2)x^2
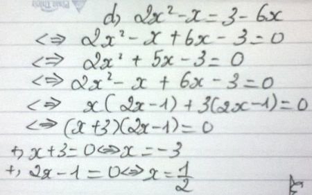
d) 2x^2 - x = 3 - 6x
e) x^3 + 2x^2 + x + 2 = 0

Xác thực tài khoản!
Theo Nghị định 147/2024/ND-CP, bạn cần xác thực tài khoản trước khi sử dụng tính năng này. Chúng tôi sẽ gửi mã xác thực qua SMS hoặc Zalo tới số điện thoại mà bạn nhập dưới đây:
Số điện thoại chưa đúng định dạng!
Xóa
Đăng nhập để viết
3 Câu trả lời
-
Bé Gạo Trả lời hay12 Trả lời · 11/01/22 -
Hươu Con0 Trả lời · 11/01/22 -
1m520 Trả lời · 11/01/22