Bài tập Tết môn Toán lớp 6
Bài tập Tết môn Toán lớp 6
Bài tập Tết môn Toán lớp 6 bao gồm 3 dạng bài tập cơ bản trong chương trình Toán 6 cho các em học sinh tham khảo, rèn luyện kỹ năng giải Toán, ôn tập trong Tết. Đây cũng là tài liệu tham khảo hay dành cho quý thầy cô ra đề ôn tập Tết cho học sinh. Mời các bạn cùng tham khảo chi tiết sau đây.
Bài tập Tết môn Toán lớp 6
Dạng 1: Tính
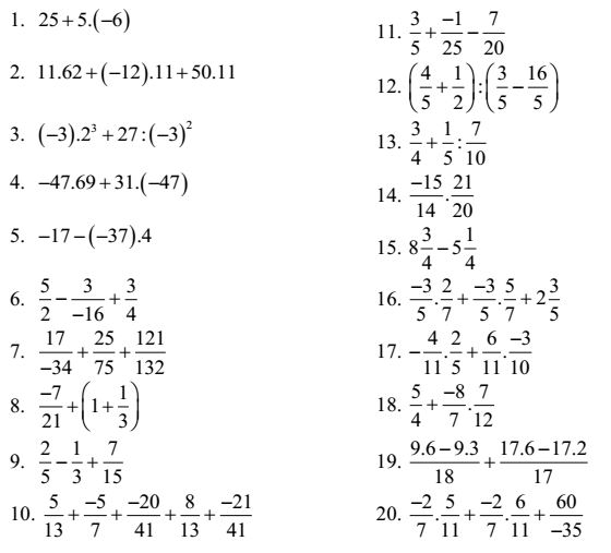
Câu 1: Thực hiện các phép tính:
|
a) |
b) |
|
c) |
d) |
Câu 2. Tính

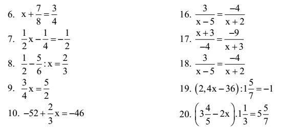
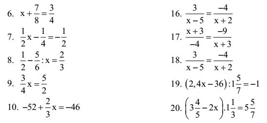
Dạng 2: Tìm x


Dạng 3: Hình học
Bài 1:
a) Vẽ hai góc kề bù aOb và bOc. Tính góc bOc biết aOb = 180o.
b) Vẽ góc mOn =110o. Tia Ok là tia phân giác của mOn. Tính góc mOk.
Bài 2: Hình vẽ dưới đây cho xOt = 90o và Ox, Ok là hai tia đối nhau.
a) Viết tên các cặp góc phụ nhau
b) Viết tên các cặp góc bù nhau.
Bài 3: Trên cùng một nửa mặt phẳng có bờ là đường thẳng chứa tia Ox, vẽ hai tia Oy và Oz sao cho xOy = 35o và xOz = 70o.
a) Tính số đo yOz
b) Tia Oy có phải là tia phân giác của xOz không? Vì sao?
c) Vẽ tia Oy’ là tia phân giác của zOt. Tính xOy' và yOy'.
Bài 4: Trên cùng một nửa mặt phẳng có bờ là đường thẳng chứa tia Oa, vẽ hai tia Ob và Oc sao cho aOb = 130o , aOc = 40o
a) Tính bOc?
b) Sắp xếp các góc: bOc, aOc, aOb theo thứ tự nhỏ dần
c) Vẽ tia Om là tia phân giác của bOc. So sánh mOb và mOa.
Bài 5: Trên cùng một nửa mặt phẳng có bờ là đường thẳng chứa tia Ox, vẽ hai tia Oy và Oz sao cho xOy = 40o và xOz =120o
a) Tính số đo yOz
b) Gọi Ot là tia đối của tia Oy. Tính góc xOt
c) Vẽ Om là tia phân giác của yOz. Chứng tỏ rằng Oy là tia phân giác của xOm
Bài 6: Trên cùng một nửa mặt phẳng có bờ là đường thẳng chứa tia Ox, vẽ hai tia Oy và Oz sao cho xOy = 80o và xOz =130o.
a) Tính số đo yOz
b) Gọi Ox’ là tia đối của tia Oy. So sánh x 'Oz và zOy
c) Chứng tỏ rằng Oz nằm giữa hai tia Ox’ và Oy.
Bài 7: Trên cùng một nửa mặt phẳng có bờ là đường thẳng chứa tia Ox, vẽ hai tia Oy và Oz sao cho xOy = 60o và xOz =120o.
a) Tia Oy có nằm giữa hai tia Ox, Oz không? Vì sao?
b) Tia Oy là tia phân giác của xOz không? Vì sao?
c) Vẽ tia Ot sao cho xOt = 90o. Tính số đo yOt
Bài 8: Trên cùng một nửa mặt phẳng có bờ là đường thẳng chứa tia Ox, vẽ hai tia Oy và Oz sao cho xOy = 50o và xOz =120o. Vẽ tia Om là tia phân giác của xOy và On là tia phân giác của xOz
a) Tia nào nằm giữa hai tia còn lại? Vì sao?
b) Tính số đo xOm, xOn, mOn
Bài 9: Cho biết Om, On lần lượt là các tia phân giác của các góc kể bù xOz và zOy. Tính số đo góc mOn?
---------------------------------------------
Ngoài tài liệu trên đây, mời các bạn tham khảo thêm các Tài liệu học tập lớp 6 để có kiến thức tổng hợp các môn. Ngoài ra các Đề thi giữa kì 2 lớp 6 và Đề thi học kì 2 lớp 6 trên VnDoc cũng là tài liệu hay cho các em học sinh ôn luyện, chuẩn bị cho kì thi sắp tới đạt kết quả cao.