Cách lấy điểm câu cực khó môn Sinh học trong bài tập Di truyền phả hệ
Luyện thi THPT Quốc gia: Phương pháp làm bài tập Di truyền phả hệ
Bài tập Di truyền phả hệ thường được ra dưới 2 dạng: xác định kiểu gen cá thể trong phả hệ và tìm xác suất kiểu gen của cá thể trong phả hệ. Đây là bài tập khó lấy điểm trong đề thi THPT Quốc gia môn Sinh. VnDoc.com mời các bạn tham khảo lời khuyên của thầy Đinh Đức Hiền (Viện Công nghệ Thực phẩm – Bộ Công thương) dưới đây để có thể làm bài tập Di truyền phả hệ một cách đúng và chính xác nhất nhé!
- Phương pháp ôn luyện đạt điểm cao môn Sinh học kỳ thi THPT quốc gia 2020
- Tổng hợp đề thi thử THPT Quốc gia được tải nhiều
- Hệ thống kiến thức Sinh học dành cho thi Đại học

Bài tập di truyền phả hệ là một câu hỏi khó/rất khó nhằm phân loại thí sinh. Điểm khác biệt của di truyền phả hệ là đối tượng trên người chứ không phải động vật hay thực vật, vì thế bài toán sẽ không có các tỉ lệ kiểu hình như phép lai trong bài tập quy luật di truyền, thay vào đó là kiểu hình và mối liên hệ giữa các thành viên trong phả hệ là căn cứ để giải quyết bài toán.
Di truyền phả hệ thường được ra dưới 2 dạng bài tập sau: xác định kiểu gen cá thể trong phả hệ và tìm xác suất kiểu gen của cá thể trong phả hệ (cá thể đã được sinh ra hoặc dự đoán cá thể sinh ra). 2 dạng bài tập này đều ở mức độ khó, học sinh cần nắm được phương pháp chung để tiến hành làm bài toán.
Thầy giáo Đinh Đức Hiền nhấn mạnh, khó khăn khi làm bài tập di truyền phả hệ không nằm ở tính toán mà mấu chốt là sự gây nhầm lẫn. Bài tập di truyền phả hệ trong đề thi có thể cho dưới 2 hình thức: lời văn hoặc sơ đồ phả hệ cho sẵn, nếu như là lời văn, cách tốt nhất là các em nên vẽ lại nó thành sơ đồ phả hệ một cách cẩn thận vào nháp, nếu vẽ sai thì sẽ không giải được bài toán còn không vẽ ra sẽ rất rối bởi các thông tin về mối quan hệ họ hàng giữa các cá thể trong phả hệ.
Để làm tốt bài tập di truyền phả hệ, thầy Đinh Đức Hiền lưu ý 3 chủ điểm kiến thức mà học sinh cần nắm vững, như sau:
Thứ nhất, Quy luật Mendel về lai một cặp tính trạng: nắm vững dấu hiệu nhận biết trội lặn hoàn toàn hay không hoàn toàn của một tính trạng để từ đó suy ra alen gây bệnh là alen trội hay lặn, đương nhiên không được bỏ qua các tỉ lệ của các phép lai cơ bản, các em cần nắm rõ như bảng cửu chương vậy.
Thứ 2, Di truyền liên kết với giới tính: Các em đều học rằng nếu tính trạng phân bố không đồng đều ở hai giới và chủ yếu biểu hiện ở con đực thì gen quy định tính trạng nằm trên NST X (không có alen tương ứng trên Y), tuân theo quy luật di truyền chéo, tuy nhiên cái nhầm lẫn hay cái bẫy tiếp theo nằm ở đây, vì người không sinh sản nhiều, nếu như số lượng cá thể trong phả hệ ít mà các em áp dụng theo tỷ lệ đực: cái rất dễ dẫn đến sai lầm, vậy trong trường hợp này dấu hiệu di truyền chéo là tuyệt vời nhất: gen trên X từ bố phải truyền cho con gái, gen trên X ở con trai tất nhiên phải nhận từ mẹ.
Nếu gen gây bệnh nằm trên NST giới tính Y (không có alen tương ứng trên X) thì tuân theo quy luật di truyền thẳng (luật di truyền chéo cho 100 % cá thể có tổ hợp kiểu gen XY), thường thì dạng này ít gặp trong đề thi do nó quá rõ ràng.
Thứ 3, Quy luật di truyền liên kết hoàn toàn và hoán vị gen: bài tập liên quan đến phần này ít có trong đề thi hơn, thông thường đề bài sẽ cho tính trạng nào liên kết với tính trạng nào rồi, còn có thể cho khoảng cách giữa các gen trên NST từ đó tính tần số HVG, các em không phải đi chứng minh, việc còn lại là tìm kiểu gen cơ thể theo yêu cầu đề bài. Các em cũng cần lưu ý thêm dạng này để tránh bỡ ngỡ khi đi thi.
Di truyền phả hệ thường được ra dưới 2 dạng bài tập sau: xác định kiểu gen cá thể trong phả hệ và tìm xác suất kiểu gen của cá thể trong phả hệ (cá thể đã được sinh ra hoặc dự đoán cá thể sinh ra).
Để giúp thí sinh làm bài tốt phần thi này trong kỳ thi THPT quốc gia 2016, thầy Hiền chỉ ra 3 bước cơ bản của một bài tập Di truyền phả hệ, cụ thể:
Bước 1: Xác định gen gây bệnh là gen trội hay gen lặn (nếu đề bài chưa cho).
Dựa vào các dấu hiệu như quy luật phân li mà các em đã học: ví dụ như bố mẹ bình thường sinh con bệnh thì tính trạng bệnh là tính trạng lặn, tính trạng bình thường là trội...
Bước 2: Xác định gen gây bệnh do nằm trên NST thường hay giới tính.
- Nếu trên NST khi có tỷ lệ mắc bệnh đồng đều ở cả 2 giới hoặc mẹ mắc bệnh (tính trạng lặn) con trai lại không bị bệnh... thì gen nằm trên NST thường;
- Nếu trên NST giới tính khi mang các đặc điểm của gen trên NST giới tính như: gen bị bệnh chỉ biểu hiện ở con trai, có sự di truyền chéo...
Kết thúc bước này các em đã hoàn thành dạng bài thứ nhất. Như vậy nếu bài toán chỉ yêu cầu đi tìm kiểu gen các cá thể trong phả hệ thì học sinh hoàn toàn có thể làm được dễ dàng.
Bước 3: Tính xác suất xuất hiện kiểu gen hoặc kiểu hình nào đó ở đời con (nếu đề bài yêu cầu)
Đây là phần dễ nhầm lẫn nhất, thí sinh dễ tính toán sai. Trong phả hệ luôn có những cá thể biết chắc chắn kiểu gen, và những cá thể chưa biết rõ kiểu gen mà mới chỉ biết kiểu hình nên chúng ta cần xác định rõ đó là những cá thể nào, tỉ lệ về kiểu gen là bao nhiêu. Công thức chung mà các em có thể áp dụng cho xác suất cần tìm trong phả hệ như sau:
Xác suất kiểu gen (kiểu hình) cá thể cần tìm = [tỉ lệ kiểu gen bố] x [tỉ lệ kiểu gen mẹ] x [tỉ lệ kiểu gen (kiểu hình) cần tìm trong phép lai] x [xác suất sinh trai (gái)] x [số trường hợp xảy ra]
Trong đó:
- Tỉ lệ kiểu gen của bố (nếu có): xác suất bố mang kiểu gen nào đó là bao nhiêu (ví dụ bố bình thường kiểu gen có thể là AA hoặc Aa với xác suất mỗi loại là bao nhiêu);
- Tỉ lệ kiểu gen của mẹ: xác suất mẹ mang kiểu gen nào đó là bao nhiêu (ví dụ mẹ bình thường kiểu gen có thể là AA hoặc Aa với xác suất mỗi loại là bao nhiêu);
- Tỉ lệ kiểu gen (kiểu hình) cần tìm trong phép lai: ví dụ kiểu gen aa trong phép lai 2 bố mẹ Aa x Aa là ¼;
- Xác suất sinh trai (gái): xác suất này cần linh hoạt nếu đề bài không yêu cầu thì chúng ta không tính, nếu đề bài yêu cầu thì phải xem tính trạng đang xét nằm trên NST thường thì cần nhân 1/2 ở mỗi lần sinh, còn nằm trên NST giới tính thì chúng ta không cần nhân thêm ½;
- Số trường hợp xảy ra: khi đề bài hỏi xác suất của 2 cá thể sinh ra trở lên. (ví dụ đề bài chỉ nói sinh 1 trai, 1 gái thì có 2 trường hợp: sinh trai trước, gái sau hoặc sinh gái trước, trai sau).

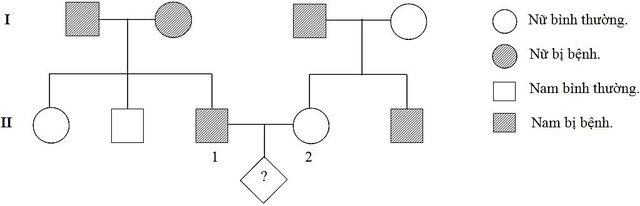
Cặp vợ chồng (1) và (2) ở thế hệ thứ II mong muốn sinh hai người con có cả trai, gái và đều không bị bệnh trên. Cho rằng không có đột biến xảy ra, khả năng để họ thực hiện được mong muốn là bao nhiêu?
A. 5,56% B. 12,50% C. 8,33% D. 3,13%
Hướng dẫn giải:
- Xét trội – lặn: Bố mẹ ở thế hệ I đều bị bệnh sinh ra con ở thế hệ II có cả bệnh và không nên tính trạng bệnh là tính trạng trội (A), và tính trạng bình thường là lặn (a)
- Xét gen nằm trên NST thường hay NST giới tính: Bố ở thế hệ I mang gen trội, con gái sinh ra ở thế hệ II bình thường (aa), do đó gen nằm trên NST thường.
- Cá thể II-1 bị bệnh có bố mẹ kiểu gen Aa nên kiểu gen II-1 là: (1/3AA : 2/3 Aa)
- Cá thể II-2 bình thường nên có kiểu gen aa (100%)
- Để con của cặp II-1 và II-2 sinh ra không bị bệnh (aa) thì II-1 phải có kiểu gen Aa (2/3). Vậy ta có phép lai: Aa x aa → 1/2 Aa : 1/2 aa. Tỉ lệ con sinh ra bình thường trong phép lai là 1/2, sinh 2 đứa bình thường thì tỉ lệ là 1/2. 1/2 = 1/4
- Bài toán cần tìm xác suất sinh 2 người con trai và gái đều không bị bệnh, do gen nằm trên NST thường nên xác suất sinh trai và gái ở mỗi lần sinh là 1/2. Nhưng có 2 trường hợp đó là trai trước, gái sau hoặc gái trước, trai sau. Như vậy xác suất sinh 2 người con trong đó có 1 trai và 1 gái là: C12 . 1/2. 1/2 = 1/2
→ Vậy xác suất bài toán cần tìm là: 2/3 . 100% . 1/4. 1/2 ≈ 8,33% (Đáp án C)
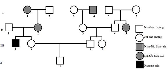
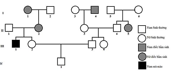
Ví dụ 2: Cho sơ đồ phả hệ sau:

Cặp vợ chồng III-2 và III-3 sinh ra một đứa con trai bình thường. Xác suất để đứa con trai này không mang alen gây bệnh là:
A. 41,18% B. 20,59% C. 13,125% D. 26,25%
Hướng dẫn giải:
- Đây là bài tập phả hệ về 2 tính trạng bệnh, nguyên tắc là chúng ta xét riêng từng bệnh.
- Xét bệnh mù màu: đây là bệnh chúng ta đã biết do gen lặn nằm trên NST X không có alen tương ứng quy định nên đứa con trai IV-1 bình thường chắc chắn 100% có kiểu gen XBY (B: không mù màu, b: mù màu)
- Xét bệnh điếc bẩm sinh: Muốn tìm kiểu gen của IV-1 chúng ta cần phải biết được kiểu gen của III-2 và III-3.
- Ta thấy I-5 và I-6 kiểu hình bình thường sinh ra con II-5 bị điếc bẩm sinh do đó điếc bẩm sinh là tính trạng lặn, bình thường là tính trạng trội. Mặt khác bố I-5 trội sinh con gái II-5 lặn nên không thể có di truyền chéo ở đây, vậy gen nằm trên NST thường.
- I-5 và I-6 sẽ phải có kiểu gen Aa: Aa x Aa → AA : Aa : aa. Cơ thể II-4 bình thường nên có thể có kiểu gen AA hoặc Aa, nhưng mấu chốt là tỉ lệ 2 kiểu gen đó là bao nhiêu, nếu các em đưa nguyên 1/4 AA : 2/4 Aa sẽ sai. Đây là điểm hay nhầm lẫn tiếp theo. Các em cần viết lại tỉ lệ đó thành (1/3 AA: 2/3 Aa), vì đơn giản bình thường thì không thể có kiểu gen aa.
- I-4 có kiểu gen aa, sinh con II-3 bình thường nên II-3 chắc chắn có kiểu gen Aa. Như vậy ta có phép lai giữa II-3 và II-4:
100% Aa x (1/3 AA: 2/3 Aa) ↔ (1/2 A: 1/2 a) x (2/3 A: 1/3 a) → 2/6 AA: 3/6 Aa: 1/6 aa
Do đó cá thể III-3 bình thường có kiểu gen (2/6 AA: 3/6 Aa) hay (2/5 AA: 3/5 Aa)
- Cá thể III-2 có kiểu hình bình thường, có mẹ II-2 điếc bẩm sinh (kiểu gen aa) nên III-2 chắc chắn có kiểu gen aa
- Ta có phép lai III-2 và III-3 như sau: Aa x (2/5 AA: 3/5 Aa) ↔ (1/2 A: 1/2a) x (7/10 A: 3/10 a) → (7/20 AA: 10/20 Aa : 3/20 aa).
- Người con IV-1 có kiểu hình bình thường nên có kiểu gen (7/20 AA: 10/20 Aa) ↔ (7/17AA : 10/17 Aa)
- Ở đây đề bài hỏi xác suất để đứa con trai IV-1 không mang alen gây bệnh, do đó người con này phải có kiểu gen AAXBY với xác suất 7/17 ≈ 41,18% (Đáp án A)
Thầy giáo, ThS. Đinh Đức Hiền,
Viện Công nghệ Thực phẩm – Bộ Công thương.
Trên đây VnDoc.com vừa giới thiệu tới các bạn Cách lấy điểm câu cực khó môn Sinh học trong bài tập Di truyền phả hệ. Mong rằng qua đây các bạn có thể học tập tốt hơn môn Sinh học lớp 12 nhé. Mời các bạn cùng tham khảo thêm các môn Toán 12, Ngữ văn 12, Tiếng Anh 12, đề thi học kì 1 lớp 12, đề thi học kì 2 lớp 12...
Mời bạn đọc cùng tham gia nhóm Tài liệu học tập lớp 12 để có thêm tài liệu học tập nhé
Đề minh họa 2020 lần 2
- Đề minh họa môn Toán 2020 lần 2
- Đề minh họa Ngữ văn năm 2020 lần 2
- Đề minh họa môn Tiếng Anh 2020 lần 2
- Đề minh họa môn Hóa năm 2020 lần 2
- Đề minh họa môn Vật lý năm 2020 lần 2
- Đề minh họa môn Sinh học năm 2020 lần 2
- Đề minh họa Địa Lý năm 2020 lần 2
- Đề minh họa môn Lịch sử năm 2020 lần 2
- Đề minh họa môn GDCD năm 2020 lần 2
- Đề minh họa tiếng Đức năm 2020 lần 2
- Đề minh họa tiếng Nhật năm 2020 lần 2
- Đề minh họa tiếng Nga năm 2020 lần 2
- Đề minh họa tiếng Trung Quốc năm 2020 lần 2