Giao diện mới của VnDoc Pro: Dễ sử dụng hơn - chỉ tập trung vào lớp bạn quan tâm. Vui lòng chọn lớp mà bạn quan tâm: Lưu và trải nghiệm
Đóng
Điểm danh hàng ngày
  • Hôm nay +3
  • Ngày 2 +3
  • Ngày 3 +3
  • Ngày 4 +3
  • Ngày 5 +3
  • Ngày 6 +3
  • Ngày 7 +5
Bạn đã điểm danh Hôm nay và nhận 3 điểm!
Nhắn tin Zalo VNDOC để nhận tư vấn mua gói Thành viên hoặc tải tài liệu Hotline hỗ trợ: 0936 120 169

Đề thi giữa học kì 1 môn Vật lý lớp 12 trường THPT Phan Văn Trị, Cần Thơ năm học 2016 - 2017

Lớp: Lớp 12
Môn: Vật Lý
Dạng tài liệu: Đề thi
Loại File: PDF
Phân loại: Tài liệu Tính phí

Đề thi giữa học kì 1 môn Vật lý lớp 12

Đề thi giữa học kì 1 môn Vật lý lớp 12 trường THPT Phan Văn Trị, Cần Thơ năm học 2016 - 2017 là đề kiểm tra giữa học kì I lớp 12 có đáp án dành cho các bạn tham khảo, hệ thống kiến thức đã học, ôn luyện chuẩn bị cho kì thi giữa kì và cuối học kì 1 môn Vật lý sắp tới. Mời các bạn tham khảo.

Đề thi giữa học kì 1 môn Vật lý lớp 12 trường THPT Nhân Chính, Hà Nội năm học 2016 - 2017

Đề kiểm tra giữa học kì 1 môn Vật lý lớp 12 năm học 2015 - 2016 trường THPT Thống Nhất A, Đồng Nai

Đề thi giữa học kì 1 môn Ngữ văn lớp 12 trường THPT Phan Văn Trị, Cần Thơ năm học 2016 - 2017

TRƯỜNG THPT PHAN VĂN TRỊ
Tổ Vật Lý_ Công Nghệ
Mã đề thi 452

ĐỀ KIỂM TRA CHẤT LƯỢNG GIỮA HK I
NĂM HỌC 2016-2017
MÔN: VẬT LÝ LỚP 12
Thời gian làm bài: 45 phút, không kể thời gian giao đề

Câu 1: Một vật dao động điều hoà theo phương trình x = 2cos(4πt) cm. Li độ và vận tốc của vật ở thời điểm t = 0,5 (s) là

A. x = –2 (cm); v = 4π (cm/s). B. x = –2 (cm); v = 0 (cm/s).

C. x = 2 (cm); v = 4π (cm/s). D. x = 2 cm; v = 0 (cm/s).

Câu 2: Phát biểu nào sau đây là đúng khi nói về sóng cơ học?

A. Sóng ngang là sóng có phương dao động của các phân tử trùng với phương truyền sóng.

B. Sóng dọc là sóng có phương dao động của các phân tử vuông góc với phương truyền sóng.

C. Sóng âm truyền được trong chân không.

D. Sóng dọc là sóng có phương dao động của các phân tử trùng với phương truyền sóng.

Câu 3: Một vật dao động điều hoà, trong thời gian ngắn nhất 0,2 (s) đi từ vị trí có động năng bằng một phần tư cơ năng đến vị trí có động năng bằng một phần hai cơ năng. Thời gian vật thực hiện được 5 dao động là

A. 48 (s) B. 4,8 (s) C. 24 (s) D. 2,4 (s)

Câu 4: Biên độ của dao động cưỡng bức không phụ thuộc vào

A. tần số của ngoại lực tuần hoàn tác dụng lên vật.

B. biên độ của ngoại lực tuần hoàn tác dụng lên vật.

C. hệ số cản (của ma sát nhớt) tác dụng lên vật.

D. pha ban đầu của ngoại lực tuần hoàn tác dụng lên vật.

Câu 5: Một con lắc lò xo dao động điều hòa theo phương ngang với phương trình x = 2cos(3πt) (cm). Tỉ số giữa động năng và thế năng của vật tại vị trí có li độ 1,5 (cm) là:

A. 0,78. B. 1,28. C. 0,56. D. 2,18.

Câu 6: Tìm phát biểu sai về độ lệch pha của hai dao động điều hòa cùng phương, cùng tần số.

A. Hiệu số pha Δφ là một lượng không đổi và bằng hiệu số các pha ban đầu Δφ = φ1 - φ2.

B. Khi Δφ > 0 ta nói dao động 1 sớm pha hơn dao động 2 và ngược lại.

C. Nếu Δφ = 2nπ (n là số nguyên) hai dao động được gọi là hai dao động cùng pha.

D. Nếu Δφ = nπ (n là số nguyên) hai dao động được gọi là hai dao động ngược pha.

Câu 7: Một con lắc đơn có chiều dài l, vật nhỏ có khối lượng m dao động điều hòa với chu kỳ 0,1s. Nếu thay vật trên bằng một vật nhỏ khác có khối lượng 2m thì chu kỳ dao động của con lắc đơn khi đó là

A. 0,4 (s) B. 0,2 (s) C. 0,1 (s) D. 0,8 (s)

Câu 8: Một vật thực hiện đồng thời hai dao động điều hòa cùng phương, cùng tần số, lần lượt có phương trình: x1 = 8cos(πt + π/3) (cm) và x2 = 6cos(πt – π/6) (cm). Vận tốc cực đại của của vật bằng

A. 31,4 (cm/s) B. 60 (cm/s) C. 62,8 (cm/s) D. 12,7 (cm/s)

Câu 9: Một sóng cơ học lan truyền trong một môi trường vật chất tại một điểm cách nguồn một khoảng x (m) có phương trình sóng: u = 4cos (4πt – π/2 x) (cm). Vận tốc truyền sóng trong môi trường đó có giá trị

A. 8 (m/s). B. 4 (m/s). C. 1/8 (m/s). D. 1/4 (m/s).

Câu 10: Một vật thực hiện đồng thời ba dao động điều hoà cùng phương, cùng tần số có phương trình x1 = 4cos(10πt + π/4) (cm); x2 = 4cos(10πt + 11π/12) (cm). Phương trình dao động tổng hợp của vật là

A. x = 4cos(10πt + 5π/12) (cm). B. x2 = 4cos(10πt + 7π/12) (cm).

C. x = 2sin(10πt - 5π/12) (cm). D. x = 2cos(100πt - 5π/12) (cm).

Câu 11: Trong dao động điều hoà, li độ, vận tốc và gia tốc là ba đại lượng biến đổi điều hoà theo thời gian và có

A. cùng biên độ B. cùng pha ban đầu. C. cùng tần số góc D. cùng pha.

Câu 12: Để đo gia tốc trọng trường trung bình tại một vị trí (sau 5 lần đo, không yêu cầu xác định sai số), người ta dung bộ dụng cụ gồm con lắc đơn; giá treo; thước đo chiều dài; đồng hồ bấm giây. Người ta phải thực hiện các bước:

a. Treo con lắc lên giá tại nơi cần xác định gia tốc trọng trường g.

b. Dùng đồng hồ bấm giây để đo thời gian của một dao động toàn phần để tính được chu kỳ T, lặp lại phép đo 5 lần.

c. Kích thích cho vật dao động nhỏ.

d. Dùng thước đo 5 lần chiều dài ℓ của dây treo từ điểm treo tới tâm vật.

e. sử dụng công thức Đề thi giữa học kì 1 môn Vật lý lớp 12 có đáp án để tính gia tốc trọng trường trung bình tại một vị trí đó.

f. Tính giá trị trung bình Đề thi giữa học kì 1 môn Vật lý lớp 12 có đáp án.

Sắp xếp theo thứ tự các bước trên

A. a, b, c, d, e, f. B. a, d, c, b, f, e. C. a, c, b, d, e, f. D. a, c, d, b, f, e.

Câu 13: Bước sóng là

A. khoảng cách giữa hai phần tử sóng gần nhất trên phương truyền sóng dao động cùng pha.

B. khoảng cách giữa hai phần tử sóng trên phương truyền sóng dao động ngược pha.

C. khoảng cách giữa hai vị trí xa nhau nhất của mỗi phần tử sóng.

D. quãng đường mà mỗi phần tử của môi trường trên phương truyền sóng đi được trong 1 giây.

Câu 14: Một sóng cơ tần số 25 Hz truyền dọc theo trục Ox với tốc độ 50 cm/s. Hai điểm gần nhau nhất trên trục Ox mà các phần tử sóng tại đó dao động ngược pha nhau, cách nhau

A. 2 cm B. 3 cm C. 4 cm D. 1 cm

Câu 15: Thực hiện giao thoa sóng trên mặt nước với hai nguồn kết hợp A và B, cùng pha, cùng tần số f. Vận tốc truyền sóng trên mặt nước là v = 60 (cm/s). Tại điểm M trên mặt nước có AM = 20 (cm) và BM = 15,5 (cm), biên độ sóng tổng hợp đạt cực đại, giữa M và đường trung trực của đoạn thẳng AB tồn tại 2 đường cong cực đại khác. Tần số dao động f của hai nguồn sóng A và B có giá trị

A. 33,33 (Hz). B. 26,26 (Hz). C. 40 (Hz). D. 20 (Hz).

Câu 16: Trên một sợi dây đàn hồi dài 2,4 m, hai đầu cố định, đang có sóng dừng. Biết sóng truyền trên dây có tần số 100 Hz và tốc độ 80 m/s. Số bụng sóng trên dây là

A. 6. B. 3. C. 4. D. 2.

Câu 17: Khi nói về sóng âm, phát biểu nào sau đây sai?

A. Siêu âm có tần số lớn hơn 20000 Hz B. Hạ âm có tần số nhỏ hơn 16 Hz

C. Đơn vị của mức cường độ âm là W/m2 D. Sóng âm không truyền được trong chân không

Câu 18: Hai âm có mức cường độ âm chênh lệch nhau 30 dB. Tỉ số cường độ âm của chúng là

A.1000. B. 10. C. 10000. D. 100.

Câu 19: Trên mặt nước có hai nguồn sóng kết hợp dao động điều hoà cùng pha theo phương thẳng đứng. Coi biên độ sóng không đổi khi sóng truyền đi. Trên mặt nước, trong vùng giao thoa, phần tử tại M dao động với biên độ cực đại khi hiệu đường đi của hai sóng truyền từ nguồn tới M bằng

A. một số lẻ lần nửa bước sóng. B. một số nguyên lần bước sóng.

C. một số nguyên lần nửa bước sóng. D. một số lẻ lần một phần tư bước sóng.

Câu 20: Một người xách một xô nước đi trên đường, mỗi bước đi dài 60 (cm) thì nước trong xô bị sóng sánh mạnh nhất. Chu kỳ dao động riêng của nước trong xô là 0,3 (s). Tốc độ của người đó là

A. 3 m/s. B. 1,5 m/s. C. 2 m/s. D. 4 m/s.

Câu 21: Một vật dao động điều hòa với phương trình x = 6cos(4πt + π/3) (cm). Quãng đường vật đi được kể từ khi bắt đầu dao động đến thời điểm t = 0,5 (s) là

A. 18 (cm). B. 24 (cm). C. 12 (cm). D. 9 (cm).

Câu 22: Người ta thường dùng các vật liệu xốp như bông, len, lụa... làm vật liệu cách âm vì

A. Những vật liệu đó nhẹ nên khả năng truyền âm của nó kém

B. Những vật liệu đó có tính đàn hồi kém nên khả năng truyền âm kém.

C. Những vật liệu đó chỉ cho sóng ngang truyền qua trong khi đó sóng âm là sóng dọc nên không truyền qua được.

D. Những vật liệu đó không có khả năng dẫn điện nên khả năng truyền âm cũng kém.

Câu 23: Một con lắc lò xo có khối lượng m = 0,4 (kg) và độ cứng k = 40 (N/m). Vật nặng ở vị trí cân bằng truyền cho nó vận tốc ban đầu bằng 20 cm/s theo chiều âm. Phương trình dao động của quả nặng:

A. x = 0,02cos(10t + π/2) m. B. x = 0,12cos(10t + π/2 ) m.

C. x = 0,12cos(10t) m. D. x = 0,02cos(10t - π/2) m.

Câu 24: Trong hệ sóng dừng trên một sợi dây, khoảng cách giữa một bụng sóng và một nút sóng liên tiếp bằng

A. một bước sóng. B. nửa bước sóng.

C. ¼ bước sóng. D. hai lần bước sóng.

Câu 25: Một con lắc đơn gồm một vật nhỏ m = 200 (g) và sợi dây nhẹ và không giãn có chiều dài ℓ = 90(cm). Từ vị trí cân bằng kéo vật sao cho sợi dây hợp với phương thẳng đứng một góc 70 rồi thả nhẹ cho vật dao động. Bỏ qua mọi sức cản tác dụng lên vật, gia tốc trọng trường nơi con lắc dao động là g = 9,8 (m/s2) và chọn mốc thế năng là vị trí cân bằng của vật. Cơ năng của con lắc là

A. 3,815 (J). B. 0,013 (J) C. 1,907 (J) D. 0,026(J).

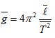
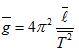
Câu 26: Biểu thức đúng để xác định chu kỳ con lắc đơn là

Đề thi giữa học kì 1 môn Vật lý lớp 12 có đáp án

Câu 27: Một sóng cơ lan truyền trên một phương truyền sóng với vận tốc 1 m/s. Phương trình sóng của một điểm O trên phương truyền đó là: u0 = 3cosπt (cm). Phương trình sóng tại một điểm M nằm sau O và cách O một khoảng 50 (cm) là

A. uM = 3cos(πt – π/2)(cm) B. uM = 3cos(πt + π/2)(cm)

C. uM = 3cos(πt – π/4)(cm) D. uM = 3cos(πt + π/4)(cm)

Câu 28: Một con lắc lò xo dao động với phương trình: x = -5cos4πt (cm). Tìm phát biểu sai

A. Tần số góc ω = 4π rad/s B. pha ban đầu φ = 0

C. Biên độ dao động A = 5cm D. Chu kì T= 0,5s

Câu 29: Với một vật dao động điều hòa thì

A. giá trị gia tốc của vật nhỏ nhất khi tốc độ lớn nhất.

B. véc tơ vận tốc và gia tốc cùng chiều khi vật đi từ vị trí biên âm về vị trí cân bằng.

C. gia tốc của vật sớm pha hơn li độ π/2.

D. tốc độ của vật lớn nhất khi li độ lớn nhất.

Câu 30: Một sợi dây AB hai đầu cố định dài ℓ, trên dây có sóng dừng với A và B là các nút sóng. Nếu tăng chiều dài lên gấp đôi và A, B vẫn cố định thì trên dây có 10 bụng sóng. Nếu tăng chiều dài thêm 30 (cm) và hai đầu A, B vẫn cố định thì trên dây có 7 nút sóng. Chiều dài ℓ của dây AB là

A. 50 (cm). B. 75 (cm). C. 150 (cm). D. 100 (cm).

Đáp án đề thi giữa học kì 1 môn Vật lý lớp 12

1

D

7

C

13

A

19

B

25

B

2

D

8

A

14

D

20

C

26

D

3

C

9

A

15

C

21

B

27

A

4

D

10

B

16

A

22

B

28

B

5

A

11

C

17

C

23

A

29

B

6

D

12

B

18

A

24

C

30

C

Chọn file muốn tải về:
Đóng Chỉ thành viên VnDoc PRO/PROPLUS tải được nội dung này!
Đóng
79.000 / tháng
Đặc quyền các gói Thành viên
PRO
Phổ biến nhất
PRO+
Tải tài liệu Cao cấp 1 Lớp
30 lượt tải tài liệu
Xem nội dung bài viết
Trải nghiệm Không quảng cáo
Làm bài trắc nghiệm không giới hạn
Mua cả năm Tiết kiệm tới 48%

Có thể bạn quan tâm

Xác thực tài khoản!

Theo Nghị định 147/2024/ND-CP, bạn cần xác thực tài khoản trước khi sử dụng tính năng này. Chúng tôi sẽ gửi mã xác thực qua SMS hoặc Zalo tới số điện thoại mà bạn nhập dưới đây:

Số điện thoại chưa đúng định dạng!
Số điện thoại này đã được xác thực!
Bạn có thể dùng Sđt này đăng nhập tại đây!
Lỗi gửi SMS, liên hệ Admin
Sắp xếp theo
🖼️

Vật lý lớp 12

Xem thêm
🖼️

Gợi ý cho bạn

Xem thêm