Đề thi giữa học kì 2 môn Toán lớp 7 trường THCS Gia Lập, Ninh Bình năm học 2015 - 2016
Đề thi giữa học kì 2 môn Toán lớp 7
Đề thi giữa học kì 2 môn Toán lớp 7 trường THCS Gia Lập, Ninh Bình năm học 2015 - 2016. Đề thi gồm có 5 câu hỏi tự luận với thời gian làm bài thi là 90 phút. Đề thi nhằm kiểm tra, đánh giá năng lực học tập của học sinh trong nửa đầu học kì 2. Mời các bạn cùng tham khảo.
Đề thi giữa học kì 2 môn Toán hình học lớp 7 Phòng GD&ĐT Bình Giang, Hải Dương năm học 2015 - 2016
Đề thi giữa học kì 2 môn Toán lớp 7 Phòng GD&ĐT Thanh Oai, Hà Nội năm học 2015 - 2016
Đề thi giữa học kì 2 môn Toán đại số lớp 7 Phòng GD&ĐT Bình Giang, Hải Dương năm học 2015 - 2016
| PHÒNG GD&ĐT GIA VIỄN TRƯỜNG THCS GIA LẬP |
ĐỀ KIỂM TRA CHẤT LƯỢNG GIỮA KÌ II Năm học 2015 - 2016 Môn: TOÁN 7 (Thời gian làm bài 90 phút) |
Câu 1. (2,0 điểm): Cho đơn thức sau: A = (-4x3y2z)(-2x2y3)3xy
a) Thu gọn đơn thức A.
b) Chỉ ra phần hệ số, phần biến và bậc của đơn thức.
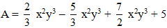
Câu 2. (1,5 điểm): Tính giá trị của biểu thức sau:
tại x = -1, y = -1
Câu 3. (2,5 điểm): Kết quả điểm kiểm tra khảo sát môn Toán bán kỳ II được ghi lại trong bảng sau:
|
5 |
7 |
6 |
7 |
7 |
8 |
7 |
5 |
4 |
8 |
|
7 |
7 |
8 |
9 |
5 |
6 |
6 |
8 |
8 |
9 |
|
7 |
6 |
9 |
6 |
7 |
8 |
9 |
10 |
10 |
7 |
a) Dấu hiệu điều tra là gì?
b) Lập bảng "Tần số" của dấu hiệu.
c) Tính số trung bình cộng và tìm mốt của dấu hiệu.
Câu 4. (3,0 điểm): Cho tam giác ABC vuông tại A, đường phân giác BE, kẻ EH vuông góc với BC tại H, gọi K là giao điểm của hai đường thẳng BA và HE.
a) Chứng minh AE = HE, AB = BH.
b) Chứng minh tam giác BCK là tam giác cân.
c) Tính độ dài BK, AC biết AB = 6cm, BC = 10cm.
Câu 5.(1,0 điểm): Tìm giá trị nguyên của biến x để biểu thức
có giá trị nhỏ nhất
ĐÁP ÁN ĐỀ THI GIỮA HỌC KÌ 2 MÔN TOÁN LỚP 7


