Đề thi học kì 2 môn Toán lớp 7 năm học 2014 - 2015 Phòng GD - ĐT Tân Châu, Tây Ninh
Đề thi học kì 2 lớp 7 môn Toán
Đề thi học kì 2 môn Toán lớp 7 năm học 2014 - 2015 Phòng GD - ĐT Tân Châu, Tây Ninh là đề kiểm tra cuối học kì 2 môn Toán lớp 7 có đáp án dành cho các bạn học sinh ôn tập Toán 7 cuối năm, luyện đề cho kì thi cuối học kì 2 môn Toán lớp 7. Mời các bạn tham khảo.
|
UBND HUYỆN TÂN CHÂU PHÒNG GIÁO DỤC VÀ ĐÀO TẠO |
CỘNG HÒA XÃ HỘI CHỦ NGHĨA VIỆT NAM Độc lập – Tự do – Hạnh phúc |
ĐỀ KIỂM TRA HỌC KÌ II NĂM HỌC 2014 - 2015
Môn: Toán 7
Thời gian: 90 phút
(Không kể thời gian phát đề)
ĐỀ CHÍNH THỨC
I. LÝ THUYẾT (2đ)
Câu 1: (1đ) Thế nào là hai đơn thức đồng dạng? Hãy cho ví dụ về hai đơn thức đồng dạng.
Câu 2: (1đ) Hãy nêu định lí về tính chất ba đường trung tuyến của một tam giác. Vẽ hình và ghi giả thiết – kết luận nội dung định lí đó.
II. BÀI TẬP (8đ)
Bài 1: (1đ) Số điểm kiểm tra học kỳ II môn Tin học của một nhóm 20 học sinh được ghi lại như sau:
| 9 | 3 | 5 | 7 | 3 | 9 | 7 | 8 | 10 | 9 |
| 7 | 5 | 9 | 3 | 6 | 6 | 8 | 9 | 10 | 4 |
a) Lập bảng tần số.
b) Tìm số trung bình cộng.
Bài 2: (1đ) Tính giá trị của biểu thức x² - 2x + 1 tại x = 1 và tại x = -1.
Bài 3: (2đ) Cho P(x) = 4x² - 4 + 3x³ + 2x + x5 và Q(x) = 3x - 2x³ + 4 - x4 + x5.
a) Sắp xếp hai đa thức theo lũy thừa giảm của biến.
b) Tính P(x) + Q(x).
Bài 4: (1đ) Tìm nghiệm của đa thức P(x) = 2x - 4.
Bài 5: (3đ) Cho ΔABC vuông tại A ; BD là tia phân giác góc B (D thuộc AC). Kẻ DE vuông góc với BC (E thuộc BC). Gọi F là giao điểm của BA và ED. Chứng minh rằng:
a) ΔABD = ΔEBD
b) DF = DC.
c) AD < DC.
Đáp án đề thi học kì 2 Toán 7
I. Lý Thuyết
Câu 1:
- Phát biểu đúng hai đơn thức đồng dạng (SGK/33)
- Cho đúng ví dụ hai đơn thức đồng dạng.
Câu 2:
- Phát biểu định lý (SGK/66).
- Vẽ hình, viết đúng tóm tắt GT-KL nội dung định lý.
II. Bài Tập
Bài 1:
a, Bảng tần số
| Giá trị (x) | 3 | 4 | 5 | 6 | 7 | 8 | 9 | 10 | N = 20 |
| Tần số (n) | 3 | 1 | 2 | 2 | 3 | 2 | 5 | 2 |
b) Tìm số trung bình cộng
|
Điểm (x) |
Tần số (n) |
Các tích (x.n) |
X trung bình = 137/20 ≈ 6,9
|
|
3 |
3 |
9 |
|
|
4 |
1 |
4 |
|
|
5 |
2 |
10 |
|
|
6 |
2 |
12 |
|
|
7 |
3 |
21 |
|
|
8 |
2 |
16 |
|
|
9 |
5 |
45 |
|
|
10 |
2 |
20 |
|
|
|
Tổng: 137 |
Bài 2:
- Thay x = – 1 vào biểu thức: x² - 2x + 1, ta có (-1)² - 2.(-1) + 1 = 4.
- Thay x = 1 vào biểu thức, ta có: x² - 2x + 1 ta có 1² - 2.1 + 1 = 0.
Bài 3:
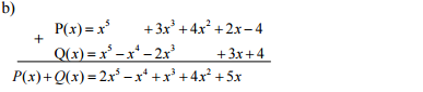
a) P(x) = x5 + 3x3 + 4x2 + 2x + 4 (0,5đ)
Q(x) = x5 - x4 - 2x3 + 3x + 4 (0,5đ)

Trên đây, VnDoc đã giới thiệu tới các bạn Đề thi học kì 2 môn Toán lớp 7 năm học 2014 - 2015 Phòng GD - ĐT Tân Châu, Tây Ninh. Ngoài ra, các bạn có thể tham khảo thêm các tài liệu lớp 7 khác như: Giải bài tập Toán lớp 7, Giải Vở BT Toán 7 và các dạng đề thi học kì 1 lớp 7, Đề thi học kì 2 lớp 7 ... cũng được cập nhật liên tục trên VnDoc.com.